Likheter-DNA-NAD+-ATP
Hej!
Beskriv med egna ord likheter och skillnader mellan DNA, ATP och NAD+. Diskutera eventuella orsaker till varför dessa molekyler är lika och varför de är olika.
Har jämfört föreningars namn och strukturformler men kommer inte fram till något vettigt. I namnet kan jag se att NAD+ är en nukleotid och DNA deuxyneukleotid men förstår inte hur jag ska förklara likheter och skillnader när jag kollar på strukturformlerna.
Någon som kan hjälpa till?
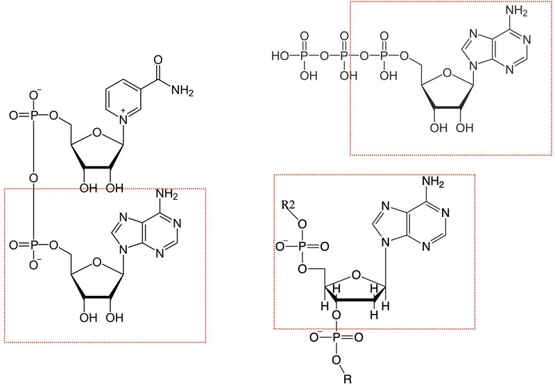
Om du tittar på strukturformlerna finns det flera likheter. Du kan nog inte titta på en större DNA-molekyl, som en kromosom. Men om du jämför de enskilda deoxynukleotiderna som DNA består av, ATP och NAD+ kommer du nog se stora likheter, och vissa skillnader.
Men jag är osäker på hur jag ska förklara skillnader i de. Om jag jämför ska jag säga att DNA har en sex ring mindre jämfört med ATP och sen att DNA är uppbyggt av fosfat+ kvävebaser? Vad är viktigt att ta upp?
Hur uppenbara likheterna är beror lite på hur de jämförs, tar du t.ex. dAMP som exempel från DNA är de riktigt lika om du tittar på dem sida vid sida; NAD+, ATP och dAMP.
Tittar du istället på tymin eller cytosin är det en skillnad i nukleobasen (d.v.s. om det är en purin- eller en pyrimidinkvävebas).

Den enda skillnaden mellan molekylerna i området innanför den röda markeringen, är i att det i DNA/dAMP saknas just en hydroxigrupp på ribossockret.
I namnet på NAD+ framgår skillnaden till adenindinukleotiden, och alla tre har en (deoxy)adeninnukleotid med skillnader i sina fosfodiesterbindningar.
Tack! Det hjälpte en hel del.