Vad vill du ha hjälp med och på vilket sätt vill du ha hjälp?
B uppgiften var besvärligare. Gäller fylla rutorna.
Päivi skrev :B uppgiften var besvärligare. Gäller fylla rutorna.
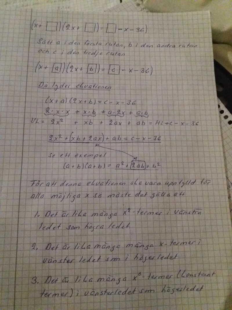
Sätt a i den första rutan, b i den andra rutan och c i den tredje rutan.
Då lyder ekvationen
(x + a)(2x + b) = c - x - 36
Multiplicera ihop parenteserna i vänsterledet:
2x^2 + bx + 2ax + ab = c - x - 36
Förenkla vänsterledet:
2x^2 + (2a + b)x + ab = c - x - 36
För att denna ekvation ska vara uppfylld för alla möjliga x så måste det gälla att
- Det är lika många x^2-termer i vänsterledet som i högerledet.
- Det är lika många x^1-termer i vänsterledet som i högerledet.
- Det är lika många x^0-termer (konstanttermer) i vänsterledet som i högerledet.
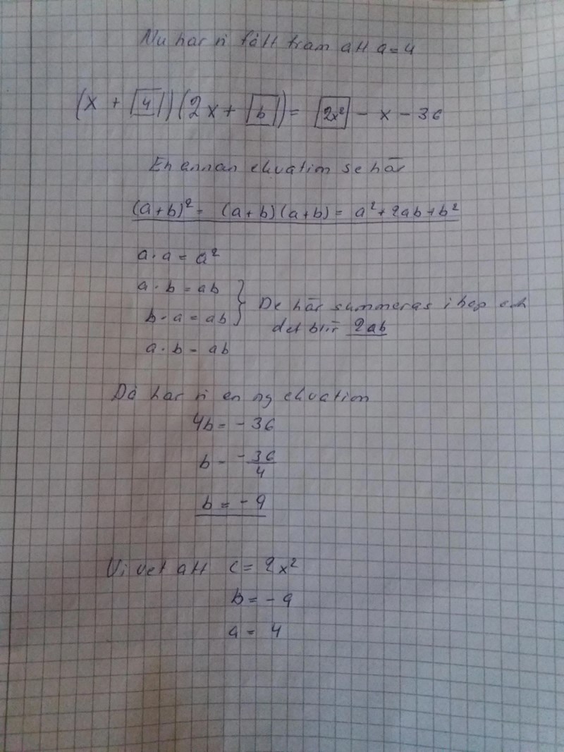
Villkor 1 ger nu ekvationen 2x^2 = c
Villkor 2 ger nu ekvationen (2a + b) = -1
Villkor 3 ger nu ekvationen ab = -36
(2a + b) = -1 innebär att b = -1 - 2a
Om vi ersätter b med -1 -2a i sista ekvationen får vi ekvationen a*(-1 - 2a) = -36.
Lös den ekvationen och bestäm sedan b med hjälp av någon av ekvationerna.
Pröva dina lösningar.
Behöver mera ledtråd av Dig Yngve!
Vad i Yngves svar är det som är oklart?
Förutom sista stegen att lösa
a*(-1 - 2a) = -36
och sedan hitta b så finns hela lösningen där.
A* -1-2*a*a=-36
det blir andra grads ekvation
eller menas det -1-2a= -36
-1+36 = 2a
detta är fel.
Päivi skrev :A* -1-2*a*a=-36
det blir andra grads ekvation
eller menas det -1-2a= -36
-1+36 = 2a
detta är fel.
Ja på grund av parenteserna så blir det som du skrev först:
a*(-1 - 2a) = -36
Multiplicera in a i parentesen:
-a - 2a^2 = -36
Addera 2a^2 till båda sidor:
-a = -36 + 2a^2
Addera a till båda sidor:
0 = 2a^2 + a - 36
Dividera med 2:
0 = a^2 + a/2 - 18
Varför jag inte kunde tänka mig andragrads ekvation beror det på att andragrads ekvation kommer lite senare i boken. De som läser den här boken från början ska alltså inte kunna andragrads ekvation, men det kan jag däremot. Lösningen måste vara på annat sätt. De har inte läst enligt boken kvadratkomplettering.
Detta är konstigt att det ska komma sådana här uppgifter, om du förstår vad jag menar.,
Päivi skrev :Varför jag inte kunde tänka mig andragrads ekvation beror det på att andragrads ekvation kommer lite senare i boken. De som läser den här boken från början ska alltså inte kunna andragrads ekvation, men det kan jag däremot. Lösningen måste vara på annat sätt. De har inte läst enligt boken kvadratkomplettering.
Detta är konstigt att det ska komma sådana här uppgifter, om du förstår vad jag menar.,
EDIT - lade till lösningen a = 4, b = -9
Ja då är det ju svårare såklart.
Att c = 2x^2 är självklart. Men a och b är värre.
Det går ju att gissa lösningen (a = 4, b = -9 eller a = -9/2, b = 8), men det är inte helt enkelt.
Är du säker på att du har skrivit av uppgiften korrekt?
Jag ska ta kort på det. Vänta några minuter. Jag ska äta glassen här.
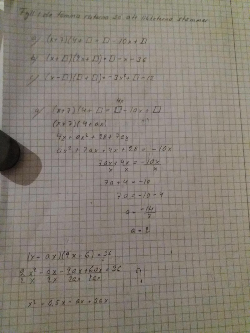
B uppgiften alltså
rutan i HL måste innehålla resultatet av X gånger 2X
36 måste vara resultatet av ett positivt tal gånger ett negativt tal, och
de måste finnas i rutorna i VL,
t.ex. 6 x -6 eller -4 x 9 eller något annat, prova........
Päivi skrev :
Hej Päivi.
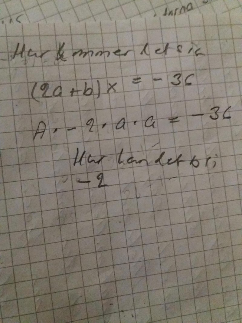
Den första ekvationen ska vara (2a + b)x = -x, vilket ger att (2a + b) = -1.
Den andra ekvationen är a - 2a^2 = -36.
Hur det kan bli -2 har jag förklarat i detta svar.
Vilken del av det svaret hängde du inte med på?
Ja om det är två ekvationer, men även man flyttar det som finns VL över till HL ändras tecknen. På HL finns även - 36. Därför undrar deg hela.
Jag somnade här nu senast.
Päivi skrev :Ja om det är två ekvationer, men även man flyttar det som finns VL över till HL ändras tecknen. På HL finns även - 36. Därför undrar deg hela.
Jag somnade här nu senast.
Undvik att använda tankesättet "flytta" och "ändra tecken", det ökar bara risken för slarvfel.
Använd istället tankesättet och tillvägagångssättet som jag visade i denna tråd.
Är det fortfarande något som är oklart?
Hej!
Uppgift b.
Högerledet är ett andragradspolynom i Då måste vänsterledet också vara ett andragradspolynom i
- Detta betyder att den tomma rutan måste vara samma sak som
- Det betyder också att uttrycket måste vara samma sak som
- Slutligen betyder det att uttrycket måste vara lika med
I punkt 2 kan man välja vilket -värde som helst; jag väljer och ser vad det ger mig. Uttrycket blir då , och detta måste vara samma sak som (eftersom nu). Jag har fått ekvationen
Men punkt 3 talar om för mig att och detta använder jag i ekvationen vilket ger mig som är samma sak som
- För att kunna bestämma måste man veta hur man löser andragradsekvationer.
- När man vet vad är så kan man bestämma från sambandet
Albiki
Hej!
Andragradsekvationen har de två lösningarna och vilket ger de motsvarande -värdena respektive
Resultat: Sambandet mellan högerled och vänsterled kan vara
,
eller så kan sambandet vara
Albiki
Jag har somnat här igen, men jag ska läsa bådas snart. Ska göra i ordning papegojan nu. Nu är jag pigg. Jag struntar inte varken Yngve eller Albiki. Jag ska titta på bådas. Jag är ofta sömnig de här tiderna särskild om jag har ätit.
Jag ska både läsa och skriva av. Sedan ställer jag frågor igen om något är oklart. Jag återkommer snart.
Vill ha svar ja eller inte från Dig Yngve!
Sedan fortsätter jag skriver igen och därefter kommer nästa fråga.
Visar sista delen av uträkningen.

Varje gång du skriver att du vill ha svar från just Yngve, så gör du att alla vi andra låter bli att svara. Där har du en del av förklaringen till att du inte alltid får svar omedelbart. Vi vet, att om vi inte är Yngve, så duger inte våra svar.
Alla andra får också svara. Det är självklart. Jag har pratat om detta även med Albiki om. Har skrivit PM med personen och då kom Albiki fram. Jag tittade på Albikis också här. Har skrivit till Albiki särskild PM. Den var riktigt bra måste jag säga. Jag kombinerade ihop detta med Yngves. Jag tog Albikis mycket positivt. Jag tyckte, den var riktigt bra måste jag säga.
Du är Magdalena lika bra. Jag var nöjd med bådas. Jag var väldigt sömnig igår kväll. När jag är sömnig, då tar jag inte emot det som ska. Bättre vara ordentligt utvilad som idag. Idag har jag tittat noga det här. Har just gjord det sista. Nu har jag C uppgiften kvar att lösa.
Alla får, men alla kanske inte vill, när det är så tydligt vem du vill ha svar av. Du kanske skall tänka på hur du formulerar dig, om du vill att fler än Yngve skall svara i dina trådar. DU vet att du vill att alla skall svara, men vi ser bara vad du har skrivit.
Jag har läst Magdalena!
Hej Päivi.
Det är i stort sett rätt men det är en del skrivfel. Du har bett mig påpeka dem så nu gör jag det:
------------------
1. Här skriver du att b + 2a är samma sak som -b - 2a, vilket inte stämmer.

2. Detta är ett uttryck, ingen ekvation.

3. En ekvation har inga nollställen. En ekvation är ett påstående som kan vara sant eller falskt. Däremot kan ett uttryck ha nollställen.

4. Om du ersätter b med -1 - 2a så blir ekvationen a*(-1 -2a) = -36. Du har skrivit fel tecken (rödmarkerat).

5. Tvåan är en koefficient, inte en konstant term (rödmarkerat)

6. Du har glömt minustecknet i "plusminus" (rödmarkerat). Du har glömt att skriva 16 i nämnaren (blåmarkerat).

7. Avrunda inte i uträkningarna (rödmarkerat). Både täljaren 289 och nämnaren 16 är jämna kvadrater så roten ur kvoten blir 17/4.

Tack för det här Yngve!
Jag tackar Er alla som har varit med. Jag kan ha flera frågor kring påpekanden. Jag ska titta noga på det här framöver.






