1
svar
138
visningar
johannes121 behöver inte mer hjälp
Likriktare och Fourierserier
Hej, behöver hjälp med uppgiften 9.2 nedan:

Jag har skrivit funktionen som:
Jag räknar ut a0 enligt:

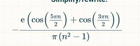
Jag får ut a(n) från en integralräknare och får:

Jag räknar ut b(n) genom en integralräknare och får:

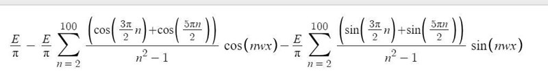
Jag skriver till sist då att funktionen Ecos(wt) kan approximeras till:

Men när jag plottar graferna får jag
De är inte identiska, och dessutom ska det vara så att efter en halv period så ska funktionen vara lika med 0, istället fortsätter den bara att vara positiv. Vet någon det generella sambandet för en half way recitifier för en cosinusfunktion och vart kan ha gått fel?
Tack på förhand!
Vad händer när n=1?