2
svar
143
visningar
MrPotatohead behöver inte mer hjälp
Likströmskrets - har jag räknat rätt?
Hej!
Jag har följande krets:

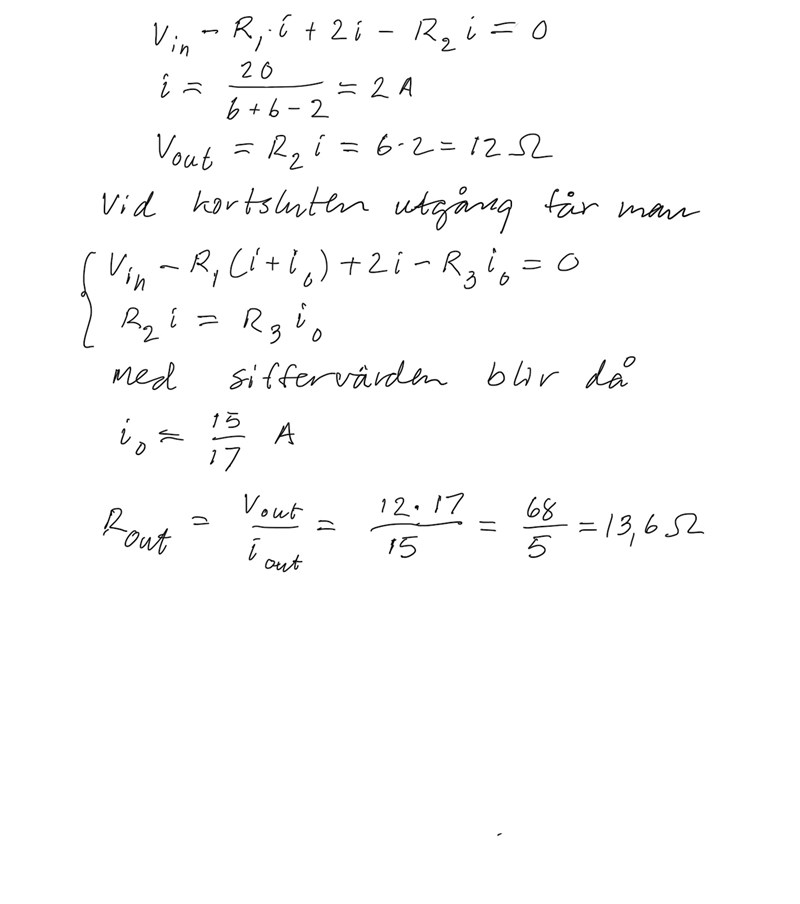
Och beräknar allt enligt:


Steget jag är osäker på är det jag ringat in i orange. Där antar jag
- att strömmen i grenen mellan maskarna är efter man öppnat upp igen eftersom det inte går någon ström genom
- att är samma som spänningen över
Kan man göra detta?
Den som har tid och lust får också gärna se om mina svar stämmer, tack! :)
Bumpar denna och säger att rätt svar är:
Rin=10
Rout=13,6
och Vout=12
Varför blir mitt tankesätt fel?
Ingångsimpedansen består av R1 plus R2 minus inverkan från den styrda spänningskällan så den blir 6+6-2 = 10 ohm.
För utspänning och utimpedans se manuella anteckningar.
