1
svar
88
visningar
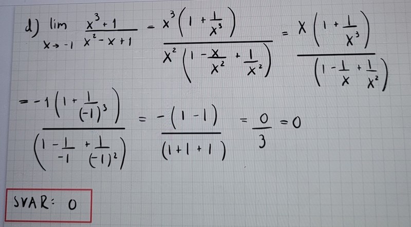
Jo det kanske går att förbättra. Du ser att täljaren blir 0 om x = –1.
Men nämnaren har värdet 3 för x = –1. Så gränsvärdet är inget konstigt, det är av typen 0 delat med 3 som är noll. Allt arbete är i onödan.
Vad som är kris är när både täljare och nämnare går mot noll, eller om båda går mot oändligheten och liknande. Men här är det bara att sätta in.

Går det att förbättra något?