7 svar
134 visningar
offan123 behöver inte mer hjälp
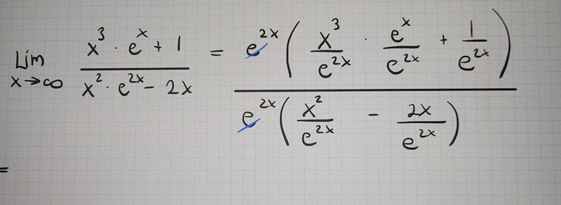
offan123 3072
Postad: 15 jan 2023 22:49

Lim

Jag ska ju bryta ut de termer som växer snabbast och det är väl e^x? Hur gör jag sen?

Yngve 42667
Postad: 15 jan 2023 23:00 Redigerad: 15 jan 2023 23:00

Ja, e2x växer snabbast, sedan kommer ex, följt av x3, x2 och 2x.

Hur ser uttrycket ut när du har brutit ut e2x och förenklat?

offan123 3072
Postad: 15 jan 2023 23:16

så här?

Yngve 42667
Postad: 15 jan 2023 23:18 Redigerad: 15 jan 2023 23:19

Förlåt, jag menar att du ska bryta ut ex, inte e2x.

Marilyn 4014
Postad: 15 jan 2023 23:22

e2x är nog bra. Multiplicera täljare och nämnare med 1/e2x. Men du gör fel du delar med e2x två gånger i första termen i täljaren.

Marilyn 4014
Postad: 15 jan 2023 23:26 Redigerad: 15 jan 2023 23:30
Visa spoiler

 [x3/ex – 1/e2x] / [x2 – 2x/e2x ]

 

offan123 3072
Postad: 15 jan 2023 23:28

Jag fick ut det med när jag ändrade felet. Men hur kan man gå vidare? 

Marilyn 4014
Postad: 15 jan 2023 23:32

Vad händer med de fyra termerna när x går mot oändl.?

Svara
Close