1 svar
55 visningar
Lisa14500 behöver inte mer hjälp
Lisa14500 1536 – Fd. Medlem
Postad: 22 nov 2020 18:22 Redigerad: 22 nov 2020 18:23

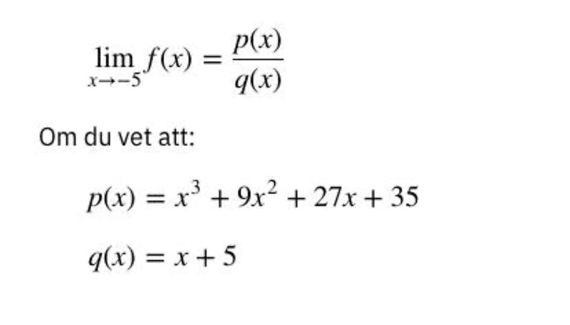
Lim x->5

Jag har svårt att komma vidare med den här

uppgiften. Det enda jag vet är att jag kan skriva det som 

(x+5) i täljaren gånger något uttryck delat med x+5. Därefter ska jag sätta in x->5. Hur kan jag förenkla täljaren?

Ture Online 11063 – Livehjälpare
Postad: 22 nov 2020 18:32

om du lärt dig polynomdivision använder du det, annars:

Ansätt (x+5)(ax^2+bx+c) =x^3+9x^2+27x+35

Multiplicera ihop VL, och gör separata ekvationer för de olika olika exponenterna för att lösa a, b och c 

Svara
Close