4
svar
95
visningar
Lim of f
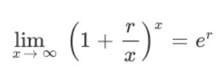
jag vet att f(x)=(1+r/x)^x när x går mot inf bli e^r .jag undrar om r=2 det bli e^2 ? Men jag ritar det blir annorlunda

Var får du för värde om du stoppar in t ex x=99999999?
om r=1 blir det e men det står inget krav på r undrar om man inte kan anväda form i allmänhetem (1+r/x)^x=e^r
om r=a blir e^a
Du skall undersöka ett gränsvärde nä x går mot oändligheten. Då kan du undersöka vad som händer om x är stort. Att kolla vad som händer när x är litet duger inte. Din graf visar bara vad som händer när x är 7 eller mindre.
Det går också att göra substitutionen:
, vilket ger:
vilket kan bestämmas med hjälp av ett standardgränsvärde.