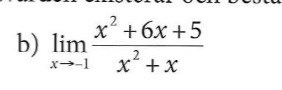
Finns faktorn (x + 1) i både täljare och nämnare?
Arktos skrev:Finns faktorn (x + 1) i både täljare och nämnare?
I nämnaren får vi lätt x + 1 men i täljaren så fattar jag inte hur jag ska göra
Metod 1: Om täljaren har värdet 0 då x = -1 så är (x+1) en faktor I täljaren. Du kan då bestämma den andra faktorn med hjälp av polynomdivision.
Metod 2: Ta fram täljarens nollställen x1 och x2. Täljaren kan då skrivas på faktorform enligt k(x-x1)(x-x2), där k är en konstant (som är lika med koefficienten framför x2-termen).
Pröva gärna båda metoderna.
Yngve skrev:Metod 1: Om täljaren har värdet 0 då x = -1 så är (x+1) en faktor I täljaren. Du kan då bestämma den andra faktorn med hjälp av polynomdivision.
Metod 2: Ta fram täljarens nollställen x1 och x2. Täljaren kan då skrivas på faktorform enligt k(x-x1)(x-x2), där k är en konstant (som är lika med koefficienten framför x2-termen).
Pröva gärna båda metoderna.
K(0-x^2)(0-6)(0-5)=-1 P(0)=-1
k=1/30x^2 ?
Yngve skrev:Metod 1: Om täljaren har värdet 0 då x = -1 så är (x+1) en faktor I täljaren. Du kan då bestämma den andra faktorn med hjälp av polynomdivision.
Metod 2: Ta fram täljarens nollställen x1 och x2. Täljaren kan då skrivas på faktorform enligt k(x-x1)(x-x2), där k är en konstant (som är lika med koefficienten framför x2-termen).
Pröva gärna båda metoderna.
Polynomdivision är matte 4 nivå? iaf jag håller på att studera de
micke2z skrev:Yngve skrev:Metod 1: Om täljaren har värdet 0 då x = -1 så är (x+1) en faktor I täljaren. Du kan då bestämma den andra faktorn med hjälp av polynomdivision.
Metod 2: Ta fram täljarens nollställen x1 och x2. Täljaren kan då skrivas på faktorform enligt k(x-x1)(x-x2), där k är en konstant (som är lika med koefficienten framför x2-termen).
Pröva gärna båda metoderna.
K(0-x^2)(0-6)(0-5)=-1 P(0)=-1
k=1/30x^2 ?
Nej, nu sätter du x till 0. Det är inte det som nollställe betyder.
Lös ekvationen x2+6x+5 = 0.
micke2z skrev:
Jag tror jag löste den med polynomdivision. Då jag fick det till -4.
Vad var det du fick till -4 ?
Du visade just att täljaren kan skrivas (x + 1)(x + 5).
Arktos skrev:Vad var det du fick till -4 ?
Du visade just att täljaren kan skrivas (x + 1)(x + 5).
Jag fick de till (x+5)/x och sen lägger jag i -1 som jag får till -4
Jag testade sedan att kontrollera att det var rätt med algibraisk hjälpemedel då jag fick det också till x+5/x
Var kommer detta x från?
Nu ser jag vad du menar.
Efter förkortning med (x+1) , blir kvoten (x+5)/x
och när x går mot -1 blir då gränsvärdet -4 .
