4
svar
100
visningar
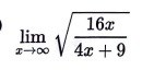
lim x -> ∞
Ösäker på vart jag ska börja
Förkorta bråket med x
Vad händer om är jätte jätte stort tal? Kommer 9 i nämnaren ha betydelse?
Aha är det bara så simpelt? 4x/2x = 2? så ingen konstant har någon betydelse när x går mot oändligt
Ja precis, den där 9 är värdelös om när vi söker gränsvärdet för STORA värde på . Så då kan vi ta bort 9an. Efter det förenklar vi (som du gjorde) och på så sätt hittar vi gränsvärdet :)