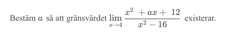
Limes uppgift
Vet inte riktigt hur jag ska ta mig an denna uppgift, antar att man kanske ska försöka bryta ut? Tacksam för hjälp!

Försök fixa så att x^2 - 16 är en faktor i täljaren
ItzErre skrev:Försök fixa så att x^2 - 16 är en faktor i täljaren
Det kan det inte bli, men försök fixa att täljaren blir 0 när nämnaren blir 0.
nu är jag förvirrad...
du kan inte dela med noll och x = 4 så (4-4) = 0 alltså ska du bli av med faktorn (x-4) för annars blir produkten i nämnaren 0.
nu vet du att (x-4) ska vara en faktor i täljaren så att du sedan kan förenkla.
Anledningen till varför gränsvärdet inte existerar är just för att om vi låter så blir ju nämnaren 0 vilket orsakar problemet. Det första man kan göra är att faktorisera nämnaren då det är skillnaden mellan två kvadrater, sedan så ser vi att ena faktorn kommer att vara och det är den faktorn som är problemet eftersom att då så blir nämnaren 0, så vi vill försöka bli av med just faktorn på något sätt...
Det vore ju fantastiskt om vi hade en faktor i täljaren också så att de två faktorerna kan ta ut varandra och då försvinner problemet och gränsvärdet existerar då, så frågan är vad måste vara för att vi ska kunna faktorisera täljaren så att vi får en
Dvs
Sista parentesen i HL ska vara (x-3), inte x-a!
Ture skrev:Sista parentesen i HL ska vara (x-3), inte x-a!
Jag menade att skriva a i sista parentesen, men ja det är det man får när man expanderar och jämför termerna. Det var menat lite som en hint :)