Limits
Ska undersöka om sekvensen har ett gränsvärde. Har jag tänkt rätt?
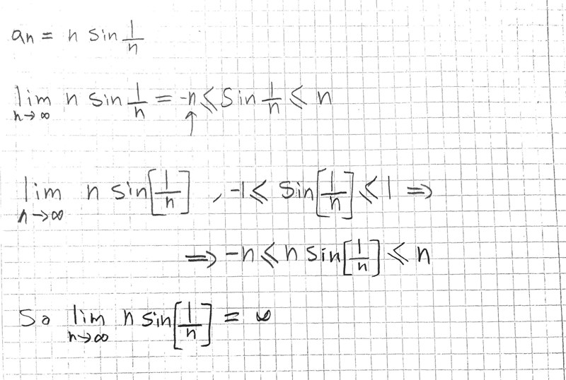
Sinuset går mot noll för stora n. Så hela uttrycket måste också gå mot noll, men jag får

Kan du kanske använda standardgränsvärde då n går mor oändligheten?
Jag kan även applicera Hospital regeln om man skriver om den så som du gjorde! Men är mitt tankesätt fel alltså?
Du gör inget fel, förutom slutsatsen.
Du säger att uttrycket ligger mellan -n och n, d.v.s mellan -∞ och ∞, så uttrycket skulle kunna vara vilket reellt tal som helst.
L'Hospital ger rätt svar, men frågan är om man "får" använda det här.
För att få rätt derivata av sin(x) så måste gränsvärdet sin(h)/h när h går mot 0 vara känt.
Dr. G skrev:
Du säger att uttrycket ligger mellan -n och n, d.v.s mellan -∞ och ∞, så uttrycket skulle kunna vara vilket reellt tal som helst.
Sant...