1
svar
48
visningar
Soderstrom behöver inte mer hjälp
Limits
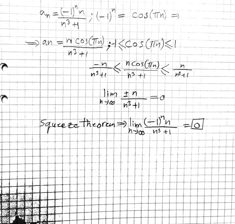
Ska räkna ut gränsvärdet av , har jag tänkt rätt?

Inget direkt fel på argumentationen, men kanske lite onödigt att blanda in cosinus.
Du kan tänka dig följden som en produkt av två följder bn = (-1)n och cn = n/(n3+1). Den första följden är begränsad och den andra följden går mot noll.