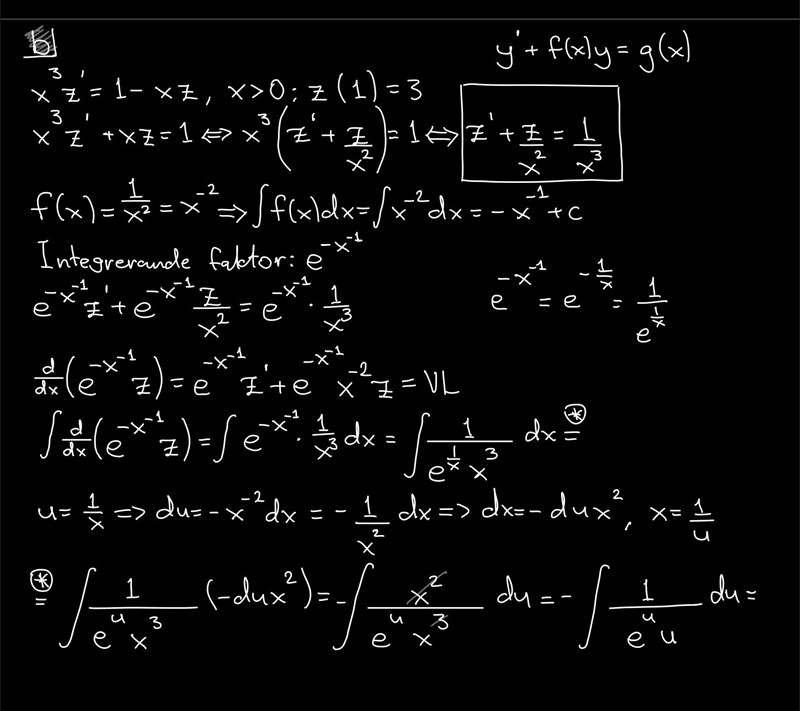
Lineär DE av första ordning
Hej, har problem med att lösa denna uppgift. Ganska ny på detta så vet inte om jag använder rätt lösningsstrategi. Jag får problem när jag kommer till den sista integralen då jag inte vet hur jag ska lösa den, kanske jag inte ens bör komma dit i första hand? All hjälp uppskattas!
(Det är alltså den första raden som är uppgiften, man ska lösa med begynnelsevillkor)

Jag tycker det ser rätt ut fram till sista steget. Du får en x-term kvar i nämnaren och substituerar den mot ett u. Men du har x = 1/u, inte x=u.
EnApelsin skrev:Jag tycker det ser rätt ut fram till sista steget. Du får en x-term kvar i nämnaren och substituerar den mot ett u. Men du har x = 1/u, inte x=u.
Det missa jag, tack. Är det sen bäst att skriva e^u i täljaren med negativ exponent och sen partialintegrera?