3 svar
122 visningar
tapetklister behöver inte mer hjälp
tapetklister 124 – Fd. Medlem
Postad: 24 mar 2019 16:35

Linjär algebra

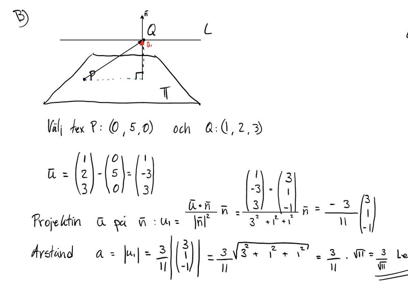
Hej. Jag behöver hjälp med att förstå hur de har tagit fram punkten på linjen P:(0,5,0). Resten förstår jag med det är P som jag inte förstår hur de tar fram.

Smutstvätt 23653 – Moderator
Postad: 24 mar 2019 18:40

De vill hitta en punkt som ligger i planet, alltså en punkt som uppfyller att 3x+y-z=5. Ett lätt sätt att uppfylla detta krav är att välja noll på alla jobbiga termer. x = 0 (trean är krånglig), z = 0 (det finns ett minustecken, usch!), och kvar har vi y som måste bli lika med fem för att uppfylla ekvationen. Det ger punkten P=(0,5,0). Det borde dock gå att välja ungefär vilken punkt i planet som helst. :)

tapetklister 124 – Fd. Medlem
Postad: 24 mar 2019 18:50

Tack så mycket!

Smutstvätt 23653 – Moderator
Postad: 24 mar 2019 21:49

Varsågod!

Svara
Close