Linjär algebra
Hej! Jag behöver hjälp med att sätta upp punkter i ett x,y,z koordinatsystem. Punkterna är Q(0,1,2), P(1,2,1) och R(3,-1,-1).
Hej! Tänker du hur du ritar in dem på t.ex ditt papper eller hur man skriver in dem i t.ex. Geogebra 3D?
jag menar hur man ritar upp dem på ett papper
Okej. Du har 3 dimensioner att ta hänsyn till. Gradera axlarna. T.ex. ska Q ha värdet 0 på x-axeln, 1 på y-axeln och 2 på z-axeln eftersom Q: (x, y, z) = (0, 1, 2). Det blir lite svårt att få det exakt i 3D men man kan få en uppfattning. Visa hur du ritar :)
jag har markerat x, y,z men jag vet ej hur jag ska sätta upp själva punkten
Det är som sagt lite svårt att få bilden korrekt när det är 3D men axlarna ska alla 3 vara vinkelräta mot varandra.
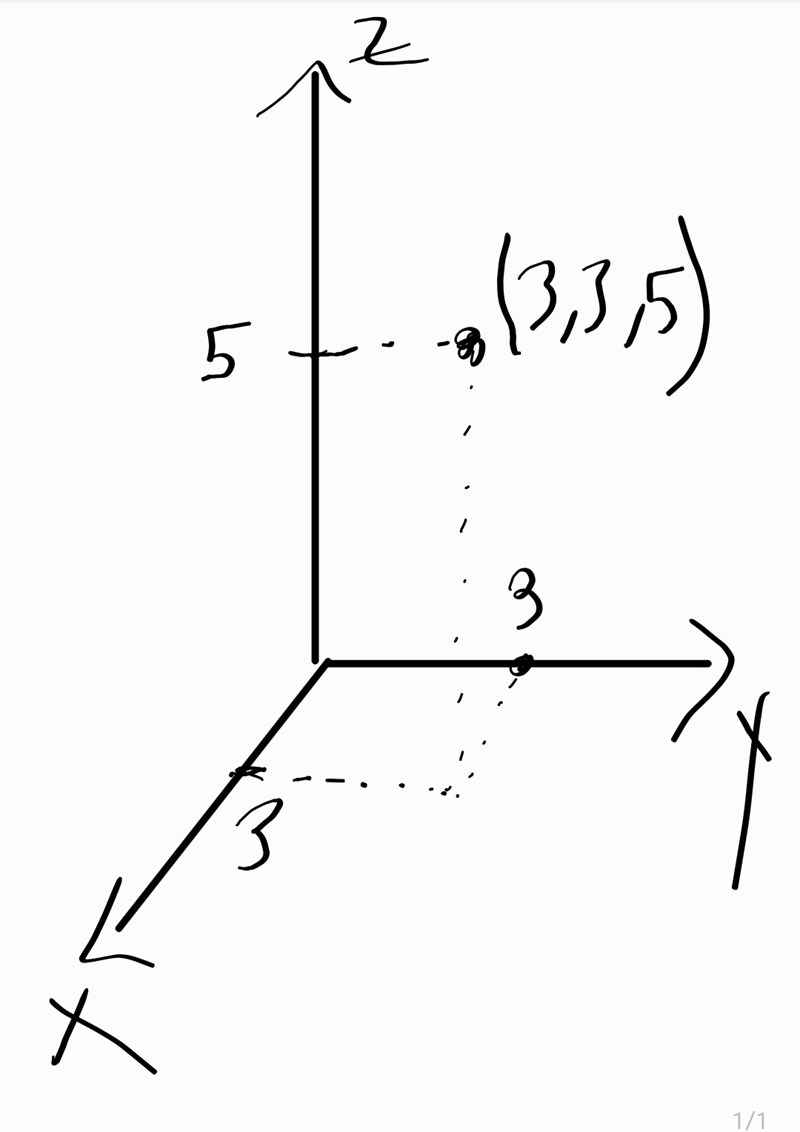
hur visste du att den skulle sitta där?
Lite slarvigt men kanske kan hjälpa. Om vi har en punkt (3,3,5) så kan vi först markera koordinaten 3 på xaxeln. Sen går vi åt sidan 3 steg parallellt med yaxeln. Till sist går vi 5 steg rakt uppåt (parallellt) med zaxeln.

Stämmer punkterna P R Q?
sin 2x skrev:Stämmer punkterna P R Q?
Det finns ingen bild
sin 2x skrev:
här
sin 2x skrev:sin 2x skrev:
här
Nej, fortfarande ingen bild.
vad konstigt, skulle du kunna rita upp punkterna, så får jag jämföra med mina punkter.



