3
svar
142
visningar
Linjär Algebra - 9.4

34shuno skrev:
Hur långt har du kommit på uppgiften?
Smaragdalena skrev:34shuno skrev:
Hur långt har du kommit på uppgiften?
Edit: Har lyckats få lösa uppgift a men har fortfarande svårt med uppgift b.

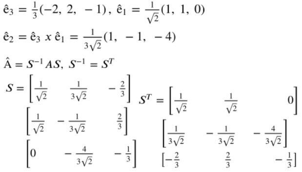
Planets ekvation kan skrivas
[-2 2 -1] = 0. Med koordinater relativt e-basen.
Sedan har du koordinattransformationen
. Sätt in detta planets ekvation ovan för att få ekvationen uttryckt i koordinater relativt -basen.
Du borde dock kunna lista ut vad ekvationen skall bli utan att behöva räkna.