1
svar
111
visningar
Linjär Algebra - 9.6c
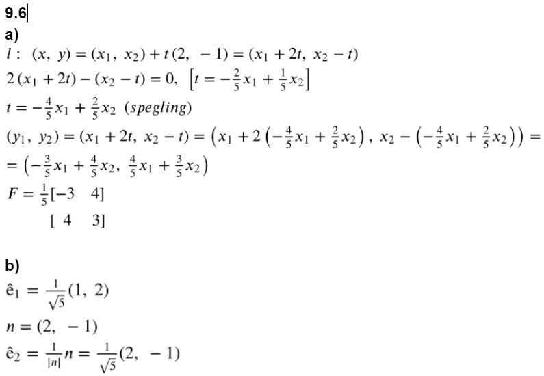
9.6c) Bestäm avbildningsmatrisen för F med avseende på basen ê_1, ê_2.
Jag har tagit fram korrekt tagit fram avbildningsmatris F och även basen ê_1, ê_2. 
I uppgift C har jag försökt såhär men de blir fel.

Om du multiplicerar matris med dess invers ska du få enhetsmatrisen. Får du det?
När du rättat till bör du slutligen erhålla
Resultatet hade du kunnat förutsäga direkt genom att använda kunskaper om den linjära avbildningen i det nya koordinatsystemet.