Linjär Algebra: Avbildningsmatris för F i ON-bas
Hej!
Jag har försökt lösa en uppgift utan någon framgång och behöver hjälp med att förstå hur de kommit fram till svaret.
Följande uppgift har jag försökt lösa: 
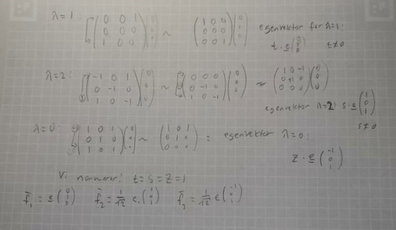
Jag har lyckats att ange egenvektorer samt normera dessa egenvektorer för att få ON-baserna. Detta har jag gjort på följande sätt:

Svar är enligt facit följande:

Min fråga är alltså såhär: Hur bestämmer jag avbildningsmatrisen A? Jag har letat både i boken och i nätet men kommer ingenvart. Jag ber i förhand ursäkt för att jag skrivit lite slarvigt.
Med vänlig hälsning
Shorbaw
Rent generellt så definierar följande samband matrisen A relativt en ordnad bas B = för avbildningen F
, i = 1, 2, 3.
Uttryckt annorlunda så gäller det att A:s i:te kolumn är lika med koordinaterna relativt basen B för vektorn .
Om basen B består av egenvektorer blir det extra enkelt.
Kolonnerna i en avbildningsmatris är bilderna av basvektorerna F(b1), F(b2), F(b3). Du har kommit farm till följande F(b1)=1*b1, F(b2)=2*b2, F(b3)=0*b3=0
Om egenvektorerna är sin egen bas så gäller: b1=(1,0,0), b2=(0,1,0), b3=(0,0,1). Då följer det att Fs kolonner är:
f1= 1 0 0
f2= 0 2 0
f3 = 0 0 0
Hej!
Tack för svar!
Jag tror jag är dig lite på spåret, men jag förstår inte helt riktigt. Rent praktiskt i mitt exempel, innebär det då att jag för in mina egenvektorer i F(x1 + x3, x2, x1 +x3) för att sedan multiplicera den nya matrisen med den originella avbildningsmatrisen? Om du förstår vad jag menar?
//Shorbaw
Säg att du har en avildningsmatris A. Antag att man bytar bas till b1,b2,b3. Vet du hur man tar farm A:s utseende i basen b1,b2,b3 ?
Shorbaw skrev:Hej!
Tack för svar! S i
Jag tror jag är dig lite på spåret, men jag förstår inte helt riktigt. Rent praktiskt i mitt exempel, innebär det då att jag för in mina egenvektorer i F(x1 + x3, x2, x1 +x3) för att sedan multiplicera den nya matrisen med den originella avbildningsmatrisen? Om du förstår vad jag menar?
//Shorbaw
I ett allmänt problem så skulle man göra på det sättet. Men nu vet vi att våra basvektorer är egenvektorer. Låt vara egenvärdet tillhörande egenvektorn . Vi har då att
F() = = . Vilket, efter lite eftertanke, ger att Aki = om k = i och Aki = 0 om k i. Så A blir i detta fall en diagonalmatris med egenvärdena längs matrisens huvuddiagonal.
Tack för svaren @PATENTERAMERA och @oneplusone2. Det var till stor hjälp!
//Shorbaw