Linjär Algebra, Beräkna när planen skär varandra på en linje. (J.Månsson 6.26)
Hej har kört fast på följande uppgift:

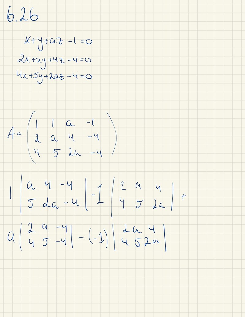
Mina uträkningar:

Har jag gjort rätt antaganden till en början eller är jag ute och cyklar?
Jag förstår inte riktigt vad du gjort, men man kan inte beräkna determinanten för en -matris om .
Ett inhomogent system (dvs med ) kan bara ha oändligt antal lösningar (t.ex. ligga utmed en linje) eller helt sakna lösningar om
Edit: Och inte verkar planen skära varandra längs en linje någonsin...
D4NIEL skrev:Jag förstår inte riktigt vad du gjort, men man kan inte beräkna determinanten för en -matris om .
Ett inhomogent system (dvs med ) kan bara ha oändligt antal lösningar (t.ex. ligga utmed en linje) eller helt sakna lösningar om
Edit: Och inte verkar planen skära varandra längs en linje någonsin...
ah, okej! Blev nog ganska förvirrad av facit:

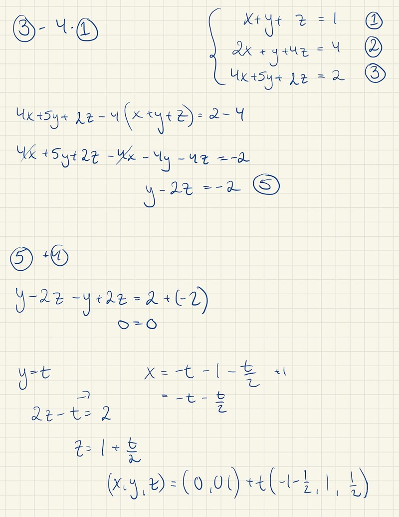
sedan såg jag att det var ett tryckfel i boken (stod på min kurssida) “2x + ay + 4z −4 = 0” 7−→ “2x + ay + 4z −2 = 0” men vet ej om detta påverkar om systemen skär varandra.
ChocolateTerrain skrev:D4NIEL skrev:Jag förstår inte riktigt vad du gjort, men man kan inte beräkna determinanten för en -matris om .
Ett inhomogent system (dvs med ) kan bara ha oändligt antal lösningar (t.ex. ligga utmed en linje) eller helt sakna lösningar om
Edit: Och inte verkar planen skära varandra längs en linje någonsin...
ah, okej! Blev nog ganska förvirrad av facit:
sedan såg jag att det var ett tryckfel i boken (stod på min kurssida) “2x + ay + 4z −4 = 0” 7−→ “2x + ay + 4z −2 = 0” men vet ej om detta påverkar om systemen skär varandra.
Köpt boken i andrahand men ser även ut som min egna handstil, däremot har inget minne av att jag har skrivit där.
ChocolateTerrain skrev:men vet ej om detta påverkar om systemen skär varandra.
Ja, det gör en ganska stor skillnad, nu får du istället ett system som har lösningar :)
Men börja med att ställa upp systemet på formen , där är en -matris.
Bestäm sedan determinanten för
För att systemet ska ha oändligt många lösningar (eller helt sakna lösningar) måste , för vilka värden på inträffar det?
D4NIEL skrev:ChocolateTerrain skrev:men vet ej om detta påverkar om systemen skär varandra.
Ja, det gör en ganska stor skillnad, nu får du istället ett system som har lösningar :)
Men börja med att ställa upp systemet på formen , där är en -matris.
Bestäm sedan determinanten för
För att systemet ska ha oändligt många lösningar (eller helt sakna lösningar) måste , för vilka värden på inträffar det?
Okej! Lyckats lösa ut a, men när jag ska bestämma ekvationen för linjen får jag inte till det riktigt, gjort följande:




Den linje du räknat ut för a=1 är korrekt för det system du räknat på. Notera dock att systemet du räknat på varken är det som uppgiften angav ursprungligen eller det system som du ville "rätta" till. Men det spelar egentligen ingen roll mer än att du inte kan jämföra med facit.
Övrig kommentar; tänk på att du parametriserat i y och att man vanligtvis parametriserar i z. Försök också bli bekväm med att använda Gausselimination, det brukar vara mer effektivt och kommer hjälpa dig både i den här- och i framtida kurser.