1
svar
91
visningar
Enaya N. behöver inte mer hjälp
Linjär Algebra - bevis av ett uttryck
Frågan lyder såhär:

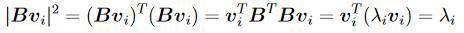
Jag lyckas inte förstå facit till frågan:

Tacksam om någon kan förklara tredje likhetstecknet. Jag förstår inte varför .
Jag klagar på att jag har inte tagit paus på ett tag eftersom jag missat att är vår avbildningsmatris och enligt definition av egenvektorer och egenvärden så gäller likhetstecknet. *smh*