1
svar
107
visningar
Linjär algebra - Gausselimination
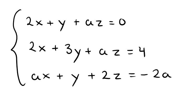
Bestäm för varje reellt tal a antalet lösningar till följande ekvationssystem:

Hur ska man tänka?
Jag kommer inte vidare efter detta steget
