Linjär Algebra - Hitta koordinater för vektor
Jag har svårt att få ordning på denna fråga:

Är det här en korrekt uppställning för totalmatrisen?

Jag tycker det ser prima ut. Du ska hitta x, y, z så att
u1x+u2y+u3z = v
Det är ett ekvationssystem:
–9x+6y+3z = –3
–6x–9y–2z = –3
osv
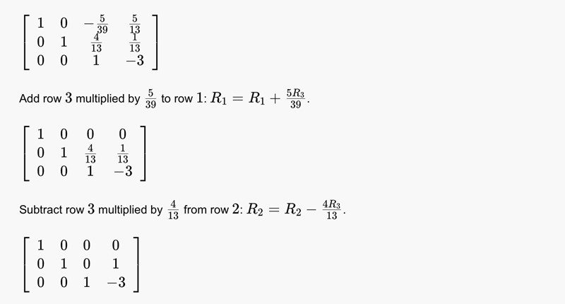
Det ekvsystemet har du cleanat till din totalmatris.
Tack för svar! Jag lyckades lösa liknande uppgift i R^2, men har svårt att få till det i R^3 av någon anledning. Men så som jag försökt lösa den har jag använt radoperationer, typ skala om ekvationerna och addera dem till varandra för att få den på trappstegsform. Sen lösa ut en variabel i taget. Men det kan vara så att det är själva huvudräkningen som ställer till det.
Tack PANTERAMERA! Väldigt tydlig lösning, jag är med på alla steg. Behöver nog bara öva lite mer och se till att vara nogrann så jag inte strular till det med bråkräkningen :)
Jag använde ”rref calculator” som finns på nätet. Bra hjälp om man kör fast eller vill kolla sitt svar.
PATENTERAMERA skrev:Jag använde ”rref calculator” som finns på nätet. Bra hjälp om man kör fast eller vill kolla sitt svar.
Tack så mkt, bra att veta!

