6 svar
164 visningar
katal behöver inte mer hjälp
katal 77
Postad: 14 nov 2024 16:17 Redigerad: 7 jan 2025 23:54

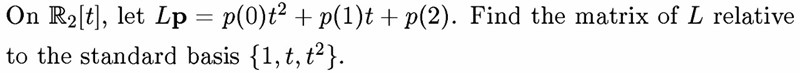
Linjär algebra, linjära transformationer i R[t]

Hej!
Skulle behöva hjälp med frågan:
Har insett att jag saknar lite "intuition" här. Vet hur man gör i mer basic fall, men här blev jag alldeles förvirrad. Vet inte ens vart jag ska börja.

LuMa07 Online 615
Postad: 14 nov 2024 16:34 Redigerad: 14 nov 2024 16:37

Kolla på vad avbildningen gör med basvektorerna.

Avbildningsmatrisen består av koordinater för basvektorernas bilder, d.v.s.

A=(L(1)L(t)L(t2))A=(\begin{array}{ccc}\vdots&\vdots&\vdots\\L(1)&L(t)&L(t^2)\\\vdots&\vdots&\vdots\end{array})

 

  • L(1)=1t2+1t+1L(1) = 1t^2 + 1t + 1, då p(0)=p(1)=p(2)=1p(0)=p(1)=p(2)=1 när p=1p=1

  • L(t)=0t2+1t+2L(t)=0t^2+1t+2, då p(0)=0p(0)=0 och p(1)=1p(1)=1 och p(2)=2p(2)=2 när p=tp=t

  • L(t2)=0t2+1t+4L(t^2) = 0t^2 + 1t + 4, då p(0)=02=0p(0)=0^2=0 och p(1)=12=1p(1)=1^2=1 och p(2)=22=4p(2)=2^2 = 4 när p=t2p=t^2.

 

Det återstår att samla koefficienterna/koordinaterna ovan i en avbildningsmatris.

katal 77
Postad: 14 nov 2024 16:43 Redigerad: 14 nov 2024 16:44
LuMa07 skrev:

Kolla på vad avbildningen gör med basvektorerna.

Avbildningsmatrisen består av koordinater för basvektorernas bilder, d.v.s.

A=(L(1)L(t)L(t2))A=(\begin{array}{ccc}\vdots&\vdots&\vdots\\L(1)&L(t)&L(t^2)\\\vdots&\vdots&\vdots\end{array})

 

  • L(1)=1t2+1t+1L(1) = 1t^2 + 1t + 1, då p(0)=p(1)=p(2)=1p(0)=p(1)=p(2)=1 när p=1p=1

  • L(t)=0t2+1t+2L(t)=0t^2+1t+2, då p(0)=0p(0)=0 och p(1)=1p(1)=1 och p(2)=2p(2)=2 när p=tp=t

  • L(t2)=0t2+1t+4L(t^2) = 0t^2 + 1t + 4, då p(0)=02=0p(0)=0^2=0 och p(1)=12=1p(1)=1^2=1 och p(2)=22=4p(2)=2^2 = 4 när p=t2p=t^2.

 

Det återstår att samla koefficienterna/koordinaterna ovan i en avbildningsmatris.

Tack, men vart fick du L(1), L(t), L(t^2) ifrån? 
Jag tänkte såhär:
p(t)=at2+bt+c=>p(0)=c,p(1)=a+b+c,p(2)=4a+2b+cp(t)=at^2+bt+c => p(0)=c, p(1)=a+b+c, p(2)=4a+2b+c
Och sedan:
p(0)t2=ct2,p(1)t=t(a+b+c),p(2)=4a+2b+cp(0)t^2=ct^2 , p(1)t=t(a+b+c), p(2)=4a+2b+c
Och sedan tar det slut.

MrPotatohead 8111 – Moderator
Postad: 14 nov 2024 16:48

Basen är ju utskriven som {1, t, t2}.

katal 77
Postad: 14 nov 2024 16:50 Redigerad: 14 nov 2024 17:05
MrPotatohead skrev:

Basen är ju utskriven som {1, t, t2}.

Det säger mig tyvärr inte jättemycket. :/

 

Jag tror mitt problem är att jag i det här fallet inte alls ser hur polynomet p(t)=at2+bt+cp(t)=at^2+bt+c spelar någon roll i ekvationerna. Förstår hur p(0),p(1),p(2)p(0), p(1), p(2) kan ge matrisen, men inte självaste beräkningarna eller varför de inte utgår ifrån något polynom som Lp påstår i uppgiften.

LuMa07 Online 615
Postad: 14 nov 2024 18:29
katal skrev:
LuMa07 skrev:...

Tack, men vart fick du L(1), L(t), L(t^2) ifrån? 
Jag tänkte såhär:
p(t)=at2+bt+c=>p(0)=c,p(1)=a+b+c,p(2)=4a+2b+cp(t)=at^2+bt+c => p(0)=c, p(1)=a+b+c, p(2)=4a+2b+c
Och sedan:
p(0)t2=ct2,p(1)t=t(a+b+c),p(2)=4a+2b+cp(0)t^2=ct^2 , p(1)t=t(a+b+c), p(2)=4a+2b+c
Och sedan tar det slut.

Givet p(t)=at2+bt+cp(t) = at^2 + bt + c, så kan man utnyttja linjäritet och få att L(p)=L(at2+bt+c)=aL(t2)+bL(t)+cL(1)L(p) = L(at^2 + bt + c) = a L(t^2) + bL(t) + cL(1), vilket är varför man undersöker vad LL gör när basvektorerna angivna i uppgiften, d.v.s. p(t)=t2p(t) = t^2 resp. p(t)=tp(t)=t resp. p(t)=1p(t)=1, stoppas in i LL.

Alternativt så kan man utnyttja allt du skrivit för att ta fram avbildningsmatrisen. Enligt uppgiften är

L(p)=p(0)t2+p(1)t+p(2)=ct2+(a+b+c)t+4a+2b+cL(p) = p(0) t^2 + p(1) t + p(2) = c t^2 + (a+b+c)t + 4a + 2b + c

och nu får man gruppera om termerna genom att bryta ut aa, respektive bb, respektive cc:

L(p)=a(t+4)+b(t+2)+c(t2+t+1)=a(0t2+1t+4)L(t2)+b(0t2+1t+2)L(t)+c(1t2+1t+1)L(1)L(p)=a(t+4)+b(t+2)+c(t^2+t+1)=a\underbrace{(0t^2+1t+4)}_{L(t^2)}+b\underbrace{(0t^2+1t+2)}_{L(t)}+c\underbrace{(1t^2+1t+1)}_{L(1)}.

Eftersom basvektorerna skrivits i ordningen {1,t,t2}\{1, t, t^2\} så får man avläsa koefficienterna hos 1, sedan t och sedan t^2 för att ta fram avbildningsmatrisen

A=(124111100)A=(\begin{array}{ccc}1&2&4\\1&1&1\\1&0&0\end{array})

katal 77
Postad: 14 nov 2024 22:26
LuMa07 skrev:
katal skrev:
LuMa07 skrev:...

Tack, men vart fick du L(1), L(t), L(t^2) ifrån? 
Jag tänkte såhär:
p(t)=at2+bt+c=>p(0)=c,p(1)=a+b+c,p(2)=4a+2b+cp(t)=at^2+bt+c => p(0)=c, p(1)=a+b+c, p(2)=4a+2b+c
Och sedan:
p(0)t2=ct2,p(1)t=t(a+b+c),p(2)=4a+2b+cp(0)t^2=ct^2 , p(1)t=t(a+b+c), p(2)=4a+2b+c
Och sedan tar det slut.

Givet p(t)=at2+bt+cp(t) = at^2 + bt + c, så kan man utnyttja linjäritet och få att L(p)=L(at2+bt+c)=aL(t2)+bL(t)+cL(1)L(p) = L(at^2 + bt + c) = a L(t^2) + bL(t) + cL(1), vilket är varför man undersöker vad LL gör när basvektorerna angivna i uppgiften, d.v.s. p(t)=t2p(t) = t^2 resp. p(t)=tp(t)=t resp. p(t)=1p(t)=1, stoppas in i LL.

Alternativt så kan man utnyttja allt du skrivit för att ta fram avbildningsmatrisen. Enligt uppgiften är

L(p)=p(0)t2+p(1)t+p(2)=ct2+(a+b+c)t+4a+2b+cL(p) = p(0) t^2 + p(1) t + p(2) = c t^2 + (a+b+c)t + 4a + 2b + c

och nu får man gruppera om termerna genom att bryta ut aa, respektive bb, respektive cc:

L(p)=a(t+4)+b(t+2)+c(t2+t+1)=a(0t2+1t+4)L(t2)+b(0t2+1t+2)L(t)+c(1t2+1t+1)L(1)L(p)=a(t+4)+b(t+2)+c(t^2+t+1)=a\underbrace{(0t^2+1t+4)}_{L(t^2)}+b\underbrace{(0t^2+1t+2)}_{L(t)}+c\underbrace{(1t^2+1t+1)}_{L(1)}.

Eftersom basvektorerna skrivits i ordningen {1,t,t2}\{1, t, t^2\} så får man avläsa koefficienterna hos 1, sedan t och sedan t^2 för att ta fram avbildningsmatrisen

A=(1amp;2amp;41amp;1amp;11amp;0amp;0)A=(\begin{array}{ccc}1&2&4\\1&1&1\\1&0&0\end{array})

åå, tack så mycket! Nu känner jag mig mycket klokare på det hela! :)

Svara
Close