1
svar
86
visningar
Linjär algebra: linjära ekvationssytem, lösbarhet
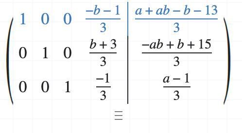
Uppgift 1 a) Hur går jag tillväga för att bevisa att det finns minst 1 lösning? Jag vet att man kan använda sig av determinanten när matrisen är av typ n x n, men det är ju inte denna... Jag har använt mig av gausselimination så långt det går men sedan vet jag inte vad nästa steg är. Tacksam för hjälp!


Välkommen till Pluggakuten!
Den här uppgiften har diskuterats tidigare - har du nytta av det?