Linjär Algebra - Lösningsmängd med Gauss-jordan
Hej,
Kan någon förklara detta facit?

När jag guassar vill jag sätta lösningsmängden till...
(Ursäkta handstilen)

Det är även rätt enligt...

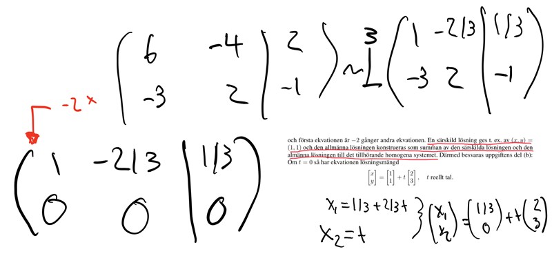
Men facit konstaterar att ekvationsystemet är inhomogent och löser det tillsynes utan gauss-elimination.
Har vi båda rätt eller vad är det som är fel?
Med vänliga hälsningar,
Twoface
Båda är rätt!
Du kan skriva din lösning som
(1,1) + s*(2,3)
Vad är då sambandet mellan parametrarna som jag kallar s och som du kallar t?
Tack för svar!
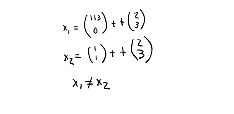
Hur kan båda vara rätt - det är väl två olika linjer d v s två olika lösningar?
Det leder till att (1/3,0) = (1,1) om t=s vilket givetvis inte stämmer?
Annat bör sambandet vara t=1/3+s men det går inte att utläsa ur rad 2?
Jag förstår inte. :/
Twoface skrev:Tack för svar!
Hur kan båda vara rätt - det är väl två olika linjer d v s två olika lösningar?
Det leder till att (1/3,0) = (1,1) om t=s vilket givetvis inte stämmer?
Annat bör sambandet vara t=1/3+s men det går inte att utläsa ur rad 2?
Jag förstår inte. :/
Ja, sambandet är t = 1/3+s, så varför säger du att det är två olika linjer?
Vilken är rad 2?
Edit: förresten, i uppgiften står det "första ekvationen är -2 gånger andra ekvationen". Där har de alltså genomfört en Gauss-elimination: hittat en faktor, multiplicerat, subtraherat och konstaterat att alltihop blev noll.
Med rad 2 menar jag ekvation nr 2 d v s denna nollrad.

Då denna rad saknar pivot-element sätts den fritt d v s inte till 1/3+t. Jag blir förvirrad hur dessa är samma sak.
Jag menar att det inte är två linjer enligt nedan.

Din lösning är helt korrekt, du får ju fram att:
och facit får:
Båda dessa är precis lika giltiga att svara med, ingen är mer korrekt än den andra.
Om du vill visa att båda är samma kan man sätta och visa att man ur din lösning får facits:
vilket visar att de två linjerna är samma. Ett annat sätt att tänka på det är linjens ekvation på parameterform. Eftersom riktningsvektorerna är samma och punkterna ligger på samma linje får vi samma linje.
Får inte riktigt ihop resonemanget men ser att algebran fungerar - jag tycker fortfarande att det borde vara olika linjer.
Kan du visa det genom att skrivs ut set på formen y=kx+m?
Ja, det går det också.
vilket ger:
Gör vi samma sak med den andra linjen får vi:
Jag lyckades med detta igår och ser att det beskriver samma linje. Jag förstår dock inte hur jag ska se det endast via parameterlösningen.
Jag köper 50% av din geometriska tolkning men gällande ”punkterna ligger på samma linje" - se bild nedan.

Det är självklartattpunkterna ligger på samma linje, en linje alltid kan dras mellan två punkter i planet. D v s de ligger alltid på samma linje.
Alltså vill jag konstatera att för att linjer skalla att vara samma krävs det endast att riktningsvektorerna är samma, intuitivt känns det fel.
Vad har jag gjort för misstag?
En rät linje definieras entydigt av antingen
- två punkter (vilka som helst) på linjen
eller
- en punkt (vilken som helst) på linjen och linjens lutning
I ditt och facits fall hade ni båda kommit fram till lutningen, men valt olika punkter på linjen där parametern (s eller t) var satt till 0.