4
svar
178
visningar
Ruboz behöver inte mer hjälp
Linjär algebra: Minsta kvadratmetoden

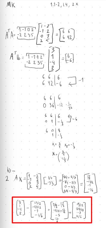
Här har jag försökt lösa denna uppgift. I 1a) beräknar jag minsta kvadratlösningen för Ax=b
Sedan försöker jag beräkna felet av 
Där X tak är minsta kvadratlösningen.
Fick väldigt jobbiga siffror och fel enligt facit. Vad har jag gjort fel?
Ett fel du gör är väl att x_1 ska vara 4/3 inte 3/4.
TACK, det var det som behövdes
Smutsmunnen skrev:Ett fel du gör är väl att x_1 ska vara 4/3 inte 3/4.
Stort tack! ny till pluggakuten så skrev mitt förra meddelande separat
Ruboz skrev:Smutsmunnen skrev:Ett fel du gör är väl att x_1 ska vara 4/3 inte 3/4.
Stort tack! ny till pluggakuten så skrev mitt förra meddelande separat
Välkommen till Pluggakuten!