linjär algebra och geometri: är matrisen inverterbar


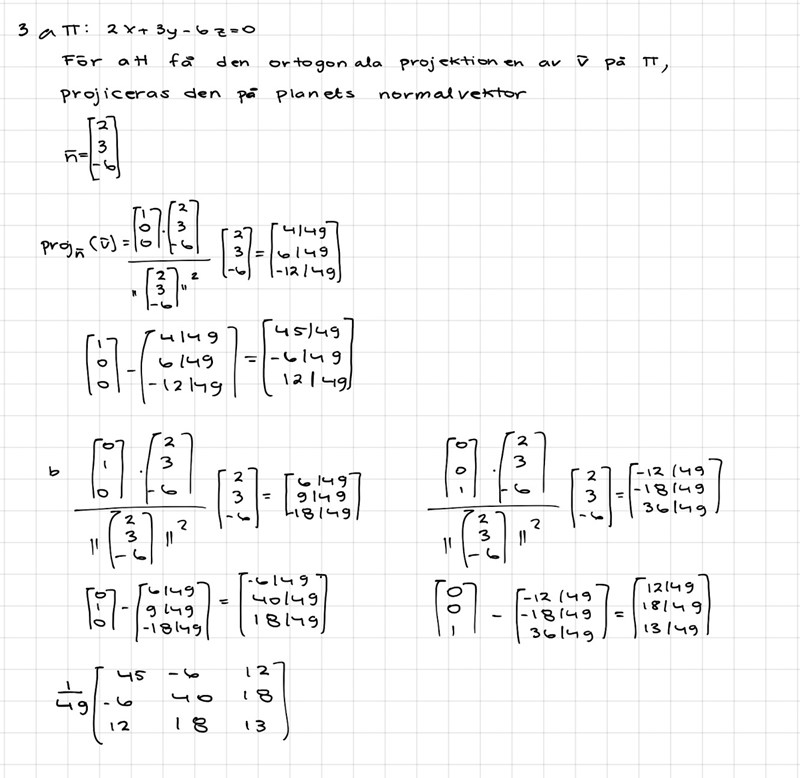
Hej, på uppgift C ska man bestämma om matrisen är inverterbar eller inte. Jag tänker då direkt att så länge determinanten av matrisen är skild från noll är den inverterbar, men på denna matris blir detta lite jobbigt att göra utan miniräknare. Alternativt kan man gaussa och kolla om alla vektorerna är linjärt oberoende, men det känns också svårt.
I facit står det bara att matrisen inte är inverterbar då normalvektorn till planet avbildas på noll. Hur ska man kunna dra den slutsatsen, och hur det alltid så när ett plan är lika med nollvektorn?
Att en matris är inverterbar är ekvivalent med att bara har triviallösningen . Men det finns alltså ett annat som löser ekvationen i det här fallet, nämligen planets normalvektor. Alltså är matrisen inte inverterbar.
I det här fallet var det alltså lättare att resonera kring invertebarheten för avbildningen än för dess matris. Ett ännu mer intuitivt argument hade kanske varit "Eftersom man från en projektion på ett plan inte kan säga vilken den projicerade punkten är (den kan ju ligga hur långt bort i rummer som helst) kan inte avbildningen vara inverterbar, och därmed inte dess matris heller".