Linjär algebra- ortgonalt diagnoliserbar
Hej!
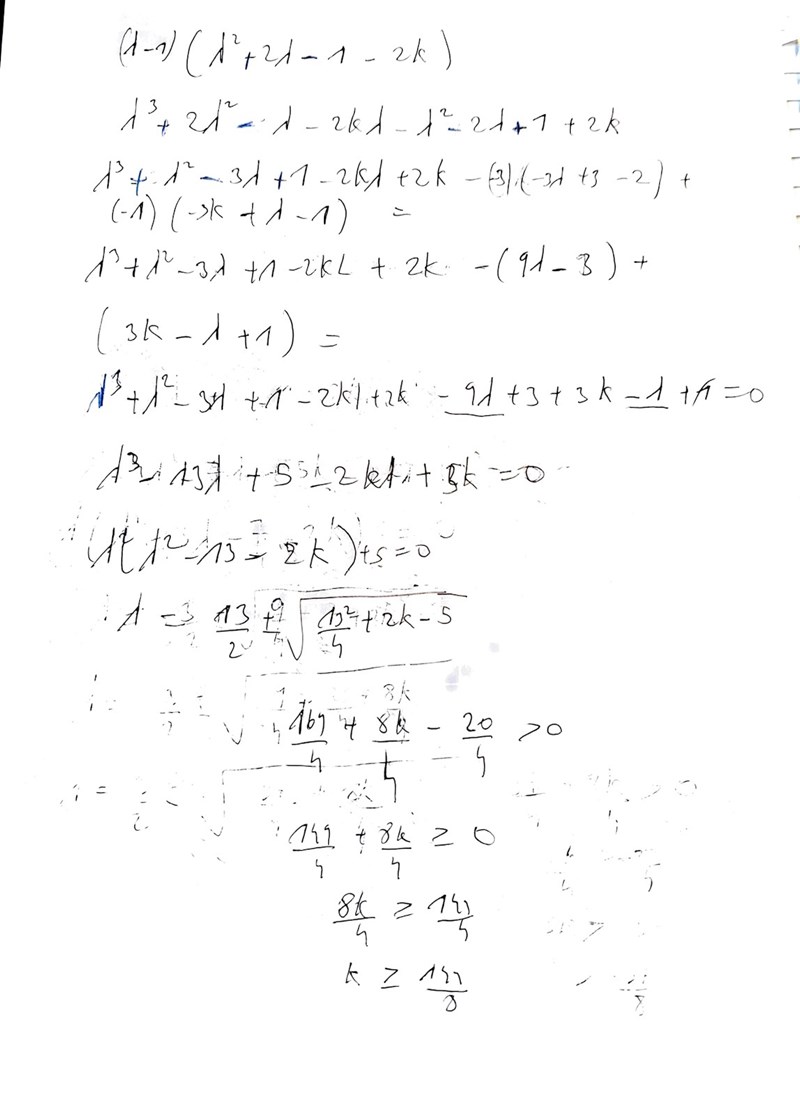
Jag undrar hur man ska tänka här? Försökte lösa genom att hitta egenvärde med hjälp av k ,men fick något väldigt konstigt

Det är rätt/en bra metod. Kan du visa dina uträkningar? Något kanske har gått fel på vägen. :)
Smutstvätt skrev:Det är rätt/en bra metod. Kan du visa dina uträkningar? Något kanske har gått fel på vägen. :)
-1.jpg?width=800&upscale=false)

Om jag inte misstar mig behöver du inte räkna så mycket, du behöver hitta en sats som säger något om vilka matriser som man kan diagonalandes med ortogonala vektorer (det är relaterat till frågans första del)
Hondel skrev:Om jag inte misstar mig behöver du inte räkna så mycket, du behöver hitta en sats som säger något om vilka matriser som man kan diagonalandes med ortogonala vektorer (det är relaterat till frågans första del)
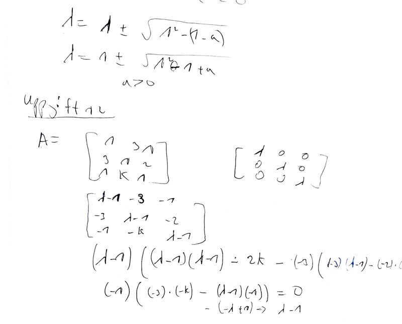
Finns ju denna sats annars som säger "En kvadratisk matris A är ortogonal och diagonaliserbar om och endast om A är symmetrisk. " uppgiften talar redan om för oss att A är symmetrisk. Man kan även kontrollera genom att se vad A^T blir .
Jag tror du menar ortogonalt diagonaliserbar vilket betyder att med en ortogonal matris (dvs består av n ortonormala egenvektorer som kolonnvektorer) om och endast om matrisen är symmetrisk.
Men det är alltså inte utan som är ortogonal.
D4NIEL skrev:Jag tror du menar ortogonalt diagonaliserbar vilket betyder att med en ortogonal matris (dvs består av n ortonormala egenvektorer som kolonnvektorer) om och endast om matrisen är symmetrisk.
Men det är alltså inte utan som är ortogonal.
Alright. Ja jag menar så. Jag noterar det! Skrev egentligen A som är ortogonal i mina anteckningar.