Linjär algebra - Ortonormerad bas

![]()
Jag kom fram till att en bas för nollrummet är (-2,1,0,1) och (0,-1,1,0) (efter gausselimination med Ax=0 och kom fram till s(-2,1,0,1) + t(0,-1,1,0)). Det jag inte fattar är hur man får fram den ortonormerade basen. Jag fattar att man normerar (0,-1,1,0) och får (0,-1,1,0) men hur kommer man fram till den andra vektor? Jag försökte att ta skalärprodukten mellan (-2,1,0,1) och (0,-1,1,0) vilket blev -1 så de är inte ortogonala, så därför kan jag inte normera (-2,1,0,1) och komma fram till den andra vektorn, eller?
Ett sätt att hitta en vektor som är vinkelrät mot (0,-1,1,0) och som faller inom ditt funna nollrum är att titta på de två basvektorerna som du hittat och försöka bilda dig en vektor som kommer att bli noll om man tar skalärprodukten med (0,-1,1,0). Att man vill ha kvar (0,-1,1,0) är nog eftersom den är tacksam att räkna med; det hänger bara på att andra och tredje värdet är samma för att ha en vektor ortogonal med den.
Tittar man på (-2,1,0,1) och (0,-1,1,0) kan man efter ett tag kanske inse att 2 * (-2,1,0,1) + 1 * (0,-1,1,0) = (-4,1,1,2) har samma värde i position 2 och position 3. Och efter det är det bara att normera de två vektorerna.
Men (-4,1,1,2) är ju en linjär kombination av (-2,1,0,1) och (0,-1,1,0) så hur kan det utgöra en bas?
Jag försökte lösa det så här, är detta ok?


Nej.
Du skulle bilda en bas till nollrummet; du måste därmed kontrollera att alla vektorer som du bildar befinner sig i nollrummet. Du sade att nollrummet beskrivs av vektorer på formen s*(-2,1,0,1) + t*(0,-1,1,0); 0,5*(1,1,1,1) kan inte uttryckas mha. de vektorerna.
Låt mig bilda ett enklare exempel för att illustrera: ponera att du skulle leta en ortonormerad bas till rummet som beskrivs av s*(1,0,0) + t*(1,1,0). Detta rum består egentligen av xy-planet så e1=(1,0,0) och e2=(0,1,0) är ett exempel på ortogonal bas; e1= (1,1,0) och e2= (-1,1,0) är ett annat exempel på ortogonal bas.
Om man inte ser dessa lösningar direkt kan man utgå från vektorerna vi hade i rummet, (1,0,0) och (1,1,0), och försöka bilda vektorer som är ortogonala från dessa. (1,0,0) har många nollor så den är tacksam att ha kvar; vi vill bilda en vektor s*(1,0,0) + t*(1,1,0) som har nollor i första koordinaten för att hitta en som är ortogonal mot denna. Uträkning eller bara tänkande kan då ge s=-1, t=1 vilket ger de ortogonala vektorerna e1=(1,0,0) och e2=(0,1,0). Att dessa direkt är normerade är här en trevlig bonus.
Om jag istället löser på det sätt du föreslår:
u= 1*(1,0,0)
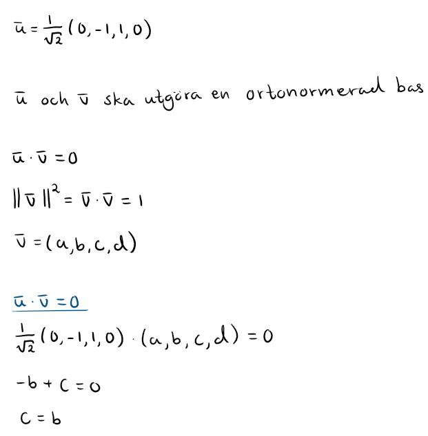
u och v ska utgöra en ortonormerad bas
u*v=0
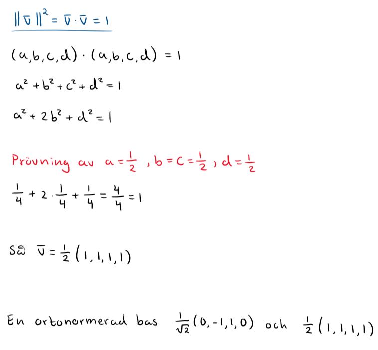
||v||2=v*v=1
v=(a,b,c)
u*v=0
1*(1,0,0)*(a,b,c)=0
a=0
||v||2=v*v=1
(a,b,c)*(a,b,c)= 1
a2+b2+c2=1
b2+c2=1
Prövning av b=1/sqrt(2), c=1/sqrt(2)
1/2+1/2=2/2=1
Så v= 1/sqrt(2)*(0,1,1)
En ortonormerad bas 1*(1,0,0) och 1/sqrt(2)*(0,1,1)
Som du kanske ser ovan så uppkom fel då jag på måfå prövade att sätta in några värden på b och c, eftersom vissa kombinationer av dessa värden inte ingick i rummet vi skulle beskriva. På samma vis uppkom fel då du prövade några värden på a, b, c och d.
Ingår Gram-Schmidt ortogonalisering i er kurs? Även om det inte gör det kan du följa konceptet.
1. Utgå från den enklaste basvektorn, i det här fallet ser snäll ut.
2. Låt
3. Normera och
Det som händer är alltså att man tar bort den del av som pekar i samma riktning som . Kvar blir den del som är vinkelrät mot . Det är en enkel tillämpning av projektionsformeln.