Linjär algebra problem 7
Hej!
Hur ska jag börja här? All tips och vägledning behövs här.

Här en tråd som kanske kan vara till hjälp.
PATENTERAMERA skrev:Här en tråd som kanske kan vara till hjälp.
Så först ska man räkna speglingen och sen använda projektionsformeln när speglingsvektorn projicerar ned på andra planet ?
Ja, men enklast är nog om man kan först beräknar matrisen för speglingen och matrisen för projektionen och sedan får totala matrisen genom matrismultiplikation.
PATENTERAMERA skrev:Ja, men enklast är nog om man kan först beräknar matrisen för speglingen och matrisen för projektionen och sedan får totala matrisen genom matrismultiplikation.
När du säger att jag ska räkna projektionen från speglingsvektorn på planet med normal (6,3,5). Visst menar du den nedan?

Jag fick den första matrisen (spegling) till
.
Du verkar fått samma.
Den andra matrisen (projektion) fick jag till
.
Vad fick du här? Lite svårt att följa dina räkningar.
PATENTERAMERA skrev:Jag fick den första matrisen (spegling) till
.
Du verkar fått samma.
Den andra matrisen (projektion) fick jag till
.
Vad fick du här? Lite svårt att följa dina räkningar.
Hur räknade du ut projektionen på den andra matrisen?
Asså tog du proj(6,3,5)(12/13,3/13,-4/13) osv ?
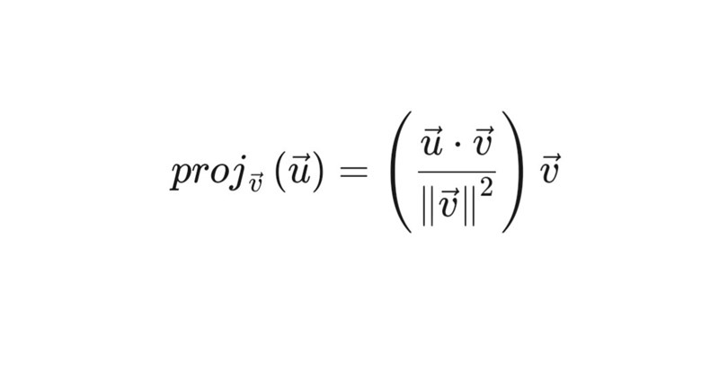
Projplan(x) = x - Projn(x) = x - (x•n)n/|n|2. Där n är planets normal.
PATENTERAMERA skrev:Projplan(x) = x - Projn(x) = x - (x•n)n/|n|2. Där n är planets normal.
Vad är x här? Basvektorerna? Den formeln som du skrev upp är det formeln för projektion mellan ett plan och en vektor eller punkt? Jag får ej rätt här.
x är den vektor som du skall projicera på planet. Projplan(x) är den projicerade vektorn svarande mot x.
PATENTERAMERA skrev:x är den vektor som du skall projicera på planet. Projplan(x) är den projicerade vektorn svarande mot x.
Men vilken vektor är det? Jag får bara fel. Se bild

Det är en variabel. Precis som när du skriver f(x) = … .
Du kan beräkna projektionens matris genom att låta x vara i tur och ordning standardbasens olika vektorer. Du har ju gjort detta på flera andra uppgifter så det borde inte vara främmande.
PATENTERAMERA skrev:Det är en variabel. Precis som när du skriver f(x) = … .
Du kan beräkna projektionens matris genom att låta x vara i tur och ordning standardbasens olika vektorer. Du har ju gjort detta på flera andra uppgifter så det borde inte vara främmande.
Ja men jag trodde ej x var standardbasvektorerna. Jag trodde du menade speglingsvektorer liksom att man tar dem tur och ordning och projicerar på andra planet. Uppgiften är säkert samma som förut men problemet är nytt så jag var ändå osäker på hur jag ska hitta andra matrisen mha projektionen för att sen multiplicera med speglingsmatrisen. Sen undrar jag om x-projnx är formeln för projektion i allmännhet eller formeln för spegling i plan där projektion förekommer?
Den formeln är för projektion på ett plan med normal n. Formeln definierar en linjär avbildning x Projplan(x). Du vet hur man tar fram (standard)matrisen till en linjär avbildning mha av vektorerna i standardbasen.
PATENTERAMERA skrev:Den formeln är för projektion på ett plan med normal n. Formeln definierar en linjär avbildning x Projplan(x). Du vet hur man tar fram (standard)matrisen till en linjär avbildning mha av vektorerna i standardbasen.
Jo jag vet. Men jag tänkte att vi skulle använda denna formel nedan men vi tar alltså x-projnx i denna uppgift vilket jag ej tänkte mig.

När du speglar en vektor x i ett plan med normal n så gör man så här.
Du delar upp vektorn i en del p som är parallell med planet och en del v som är vinkelrät mot planet x = p + v. Speglingen fås genom att byta rikting på v. S(x) = p - v.
Eftersom v är vinkelrät mot planet så finns det en skalär a (som vi måste bestämma) sådan att v = an.
x = p + an. Vi skalärmultiplicerar båda led med n.
xn = ann, vilket ger att a = xn/nn.
p = x - an.
S(x) = p - v = x -an - an = x - 2an = x - 2(xn/nn)n = x - 2Projn(x).
Hoppas det blev klart nu.
Tillägg: 21 dec 2023 12:50
Oj, såg att i detta fall var det fråga om projektion på planet. Men det är enkelt. Det är helt enkelt vektorn p.
Så Projplan(x) = p = x - an = x - Projn(x).
PATENTERAMERA skrev:När du speglar en vektor x i ett plan med normal n så gör man så här.
Du delar upp vektorn i en del p som är parallell med planet och en del v som är vinkelrät mot planet x = p + v. Speglingen fås genom att byta rikting på v. S(x) = p - v.
Eftersom v är vinkelrät mot planet så finns det en skalär a (som vi måste bestämma) sådan att v = an.
x = p + an. Vi skalärmultiplicerar båda led med n.
xn = ann, vilket ger att a = xn/nn.
p = x - an.
S(x) = p - v = x -an - an = x - 2an = x - 2(xn/nn)n = x - 2Projn(x).
Hoppas det blev klart nu.
Tillägg: 21 dec 2023 12:50
Oj, såg att i detta fall var det fråga om projektion på planet. Men det är enkelt. Det är helt enkelt vektorn p.
Så Projplan(x) = p = x - an = x - Projn(x).
Okej jag är lite förvirrad nu hur jag ska beräkna projektionen i vår uppgift. Jag har en matris av speglingen uträknad men du säger att vi behöver en till matris och multplicera dem båda för att få ut en slutmatris. Vidare skriver du att vi ska ta x-projn(x). Men gör man detta alltid om vi har två vektorer där ena projicerar på andra?
Projn(x) = (x•n)n/|n|2.
PATENTERAMERA skrev:Projn(x) = (x•n)n/|n|2.
Men då ska jag ej använda x-projn(x) eller hur?
Jo, för som jag sa

PATENTERAMERA skrev:Jo, för som jag sa
Ja det är det jag ej förstår. Vad är skillnaden mellan att avända x-projnx och använda projnx? Jag vet ej om det är för att vi jobbar med spegling och ej typ två vektorer där man söker projektion för ena vektorn projicerar på den andra vektorn?
Det första är projektionen på planet. Det är en vektor som ligger i planet.
Det andra är projektionen på normalen. Det är en vektor som är parallell med normalvektorn n. Det är därför en vektor som är vinkelrät mot planet.
PATENTERAMERA skrev:Det första är projektionen på planet. Det är en vektor som ligger i planet.
Det andra är projektionen på normalen. Det är en vektor som är parallell med normalvektorn n. Det är därför en vektor som är vinkelrät mot planet.
Ah okej då är jag med. Jag är dock ej med på hur projektionsvektor är både parallell och vinkelrät mot planet när vi utför projektion på normalen? (Ser ej detta visuellt)
Det är två olika projektioner.
Projplan projicerar en vektor på planet. Du får således en en vektor som ligger i planet.
Projn projicerar en vektor på normalvektorn n till planet. Det ger en vektor parallell med n och således vinkelrät mot planet.
Det finns ett samband mellan dessa projektioner. Nämligen
x = Projplan(x) + Projn(x).
Tillägg: 21 dec 2023 18:40

PATENTERAMERA skrev:Det är två olika projektioner.
Projplan projicerar en vektor på planet. Du får således en en vektor som ligger i planet.
Projn projicerar en vektor på normalvektorn n till planet. Det ger en vektor parallell med n och således vinkelrät mot planet.
Det finns ett samband mellan dessa projektioner. Nämligen
x = Projplan(x) + Projn(x).
Tillägg: 21 dec 2023 18:40
Ok då är jag med. Det vi söker nu är den vektor som är vinkelrät mot planet?
Nej, om du läser frågan så ser du att de efterfrågar projektionen ner på planet. Dvs Projplan.
PATENTERAMERA skrev:Nej, om du läser frågan så ser du att de efterfrågar projektionen ner på planet. Dvs Projplan.
Aa. Det är ju x-projnx? Men du skrev i #24
"Det ger en vektor parallell med n och således vinkelrät mot planet." Vilken är den parallella och vinkelräta i din figur?
Projn(x) är vinkelrät mot planet.
Projplan(x) = x - Projn(x) är parallell med planet.
Projn(x) = (x•n)n/|n|2.
PATENTERAMERA skrev:Projn(x) är vinkelrät mot planet.
Projplan(x) = x - Projn(x) är parallell med planet.
Projn(x) = (x•n)n/|n|2.
Det vi söker är då projplan(x)? Sen gör vi matrismultiplikation med speglingsmatrisen?
PATENTERAMERA skrev:Ja.
Det blir ej rätt svar. Se mina bilder nedan.

-1.jpg?width=800&upscale=false)
Tänk efter i vilken ordning du skall multiplicera i hop matriserna. Spegling skall göras först och sedan projektion.
PATENTERAMERA skrev:Tänk efter i vilken ordning du skall multiplicera i hop matriserna. Spegling skall göras först och sedan projektion.
Tror ej jag är med på hur du menar. Man ska väl multiplicera speglingsmatrisen med projektionsmatrisen? Vi har bara 2 matriser egentligen. Om vi säger att speglingsmatrisen är A så är projektionsmatrisen B. Så jag gör matrismultiplikationen AB och ej BA
När du opererar på en vektor x så står vektorn till höger.
ABx eller BAx? I första fallet kan vi se det som att vi först multiplicerar x med B (projektion) och sedan multiplicerar resultatet med A (spegling). Men vi vill ju omvänd ordning på operationerna så BA är rätt ordning i detta fall.
PATENTERAMERA skrev:När du opererar på en vektor x så står vektorn till höger.
ABx eller BAx? I första fallet kan vi se det som att vi först multiplicerar x med B (projektion) och sedan multiplicerar resultatet med A (spegling). Men vi vill ju omvänd ordning på operationerna så BA är rätt ordning i detta fall.
Jag förstår ej hur du menar nu. Du skrev att jag ska multiplicera ihop matriserna. A*B och du skrev inget om Ax=B. Hur ska man tolka den där "matrismultiplikationen"? Hade du från början skrivit att vi behöver en matris X sådan att A*X=B där B är projektionsformeln så hade jag förstått det. Jag förstår ej varför vi ska göra omvänd nu dvs BA.
Jag har inte skrivit något om Ax = B. Var fick du det i från?
PATENTERAMERA skrev:Jag har inte skrivit något om Ax = B. Var fick du det i från?
Det var min tolkning för du snackar om vektorn X från ingenstans. Jag vet fortfarande ej hur man ska tolka ditt meddelande om att multiplicera matris A med matris B i #4 för att svara på frågan.
Säg att du vill tex spegla en vektor x i ett plan. Du har tagit fram matrisen A för speglingen. För att beräkna speglingen av vektorn x så multiplicerar vi A med x från höger.
Dvs speglad vektor = y = Ax.
Detta är själva grejen med att ta fram matriser till avbildningar - vi kan utvärdera avbildningens effekt på en vektor mha en matrismultiplikation, vilket är en enkel numerisk operation.
Vi har vidare tagit fram matris B för projektion. Vi vill nu projicera resultatet av speglingen (dvs y) vi gör det igen med matrismultiplikation.
Resultat av projektion = z = By = B(Ax) = (BA)x.
Vi kan nu se hela processen - spegling följt av projektion - som att vektorn x multipliceras med matrisen BA, vilket således kan ses som matrisen för den sammansatta avbildningen T i problemtexten. Notera att problemtexten kallar matrisen till T för A, så vi får inte blanda i hop det med vad vi här kallar A.
PATENTERAMERA skrev:Säg att du vill tex spegla en vektor x i ett plan. Du har tagit fram matrisen A för speglingen. För att beräkna speglingen av vektorn x så multiplicerar vi A med x från höger.
Dvs speglad vektor = y = Ax.
Detta är själva grejen med att ta fram matriser till avbildningar - vi kan utvärdera avbildningens effekt på en vektor mha en matrismultiplikation, vilket är en enkel numerisk operation.
Vi har vidare tagit fram matris B för projektion. Vi vill nu projicera resultatet av speglingen (dvs y) vi gör det igen med matrismultiplikation.
Resultat av projektion = z = By = B(Ax) = (BA)x.
Vi kan nu se hela processen - spegling följt av projektion - som att vektorn x multipliceras med matrisen BA, vilket således kan ses som matrisen för den sammansatta avbildningen T i problemtexten. Notera att problemtexten kallar matrisen till T för A, så vi får inte blanda i hop det med vad vi här kallar A.
Var i uppgiften står att vi ska spegla en vektor x i ett plan? Eller är det dessa standardsvektorerna ? Och vad är y här? Sen säger du att y är projektion av B eller hur menar du?
Jag har ju definierat vad y är, det är den vektor som du får när du speglar x i planet.
PATENTERAMERA skrev:
Jag har ju definierat vad y är, det är den vektor som du får när du speglar x i planet.
x som standardsbasvektorerna? Y är isåfall matrisen A från spegligen gånger standardbasvektorerna?
T är en linjär avbildning från R3 till R3. T tar således en godtycklig vektor x i R3 och avbildar den på en vektor T(x) i R3. Själva processen för detta är att först spegla vektorn x i ett första plan vilket resulterat i en vektor som jag kallar y. Sedan fortsätter processen med att vektorn y projiceras på ett andra plan, vilket slutligen ger en vektor som vi kan kalla z. T(x) är således samma sak som z. Dvs T(x) = z.
Frågan handlar om att bestämma (standard) matrisen för T som man kallar A i problemet.
A är en matris med vilken vi enkelt kan beräkna T(x) för varje vektor x enligt formeln
T(x) = Ax, dvs med matrismultiplikation mellan A och x.
Vi kan dock bestämma A mha de matriser för spegling och projektion som vi tagit fram. Om As är matrisen för speglingen och Ap är matrisen för projektion så ges A av
A = ApAs.
Notera ordningen. Detta är en känd sats - titta i lärobok eller anteckningar.
Tillägg: 23 dec 2023 18:16
Om du inte har tillgång till böcker så kan du ladda ner ”linear algebra done right” av Sheldon Axler gratis från Springer Verlag. En bra bok på mellannivå.
PATENTERAMERA skrev:T är en linjär avbildning från R3 till R3. T tar således en godtycklig vektor x i R3 och avbildar den på en vektor T(x) i R3. Själva processen för detta är att först spegla vektorn x i ett första plan vilket resulterat i en vektor som jag kallar y. Sedan fortsätter processen med att vektorn y projiceras på ett andra plan, vilket slutligen ger en vektor som vi kan kalla z. T(x) är således samma sak som z. Dvs T(x) = z.
Frågan handlar om att bestämma (standard) matrisen för T som man kallar A i problemet.
A är en matris med vilken vi enkelt kan beräkna T(x) för varje vektor x enligt formeln
T(x) = Ax, dvs med matrismultiplikation mellan A och x.
Vi kan dock bestämma A mha de matriser för spegling och projektion som vi tagit fram. Om As är matrisen för speglingen och Ap är matrisen för projektion så ges A av
A = ApAs.
Notera ordningen. Detta är en känd sats - titta i lärobok eller anteckningar.
Tillägg: 23 dec 2023 18:16
Om du inte har tillgång till böcker så kan du ladda ner ”linear algebra done right” av Sheldon Axler gratis från Springer Verlag. En bra bok på mellannivå.
Jag vet ej om det är denna sats nedan av Jonas Månsson linjär algebra. Hur vet man att det handlar om en sammansättning här? Jag.märkte ej ens


Det har du rätt i. Man förutsätter att vissa saker är känt. Man utgår från att det anses känt att spegling i ett plan genom origo och projektion på ett plan genom origo kan ses som linjära avbildningar S och P, så avbildningen T kan ses som T = PS. Så vi får att A = ApAs.
PATENTERAMERA skrev:Det har du rätt i. Man förutsätter att vissa saker är känt. Man utgår från att det anses känt att spegling i ett plan genom origo och projektion på ett plan genom origo kan ses som linjära avbildningar S och P, så avbildningen T kan ses som T = PS. Så vi får att A = ApAs.
Aa okej så det blir två linjära avbildningar eftersom det blir först en spegling i ett plan och sen den spegligen blir projicerad i ett nytt plan? Och formeln ges då av den jag har bild på dvs avbildningsmatrisen=BA och ej AB ? Så anledningen till att man skriver BA är för att man hade T(x)=Ax =Bp*As*x? Bp(matrisen för projektion) och As(speglingsmatris)