Linjär algebra - största värde på en yta
Hej! Jag har problem med ett steg i frågan/uträkningen nedan (ser ut att vara mycket "text" men är bara ett steg jag inte greppar)
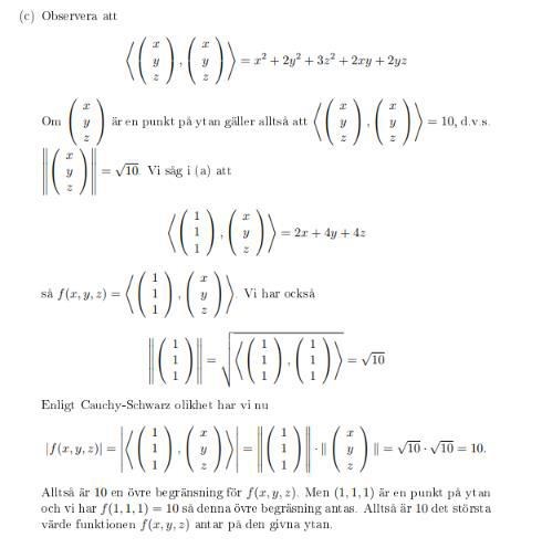
Frågan:
(Det är fråga (c) som jag har problem med)
Lösning från facit:

och jag förstår inte det här steget:
Jag förstod varför inre produkten av (x,y,z) med (x,y,z) blev 10 men jag förstår inte varför (1,1,1) med (1,1,1) skulle bli det. Någon som förstår?
Kolla på definitionen av din inre produkt, och använd att x=y=z=1. Förstår du då?
Moffen skrev:Kolla på definitionen av din inre produkt, och använd att x=y=z=1. Förstår du då?
Nej inte riktigt, var utläste du x=y=z=1?
Kolla på din inre produkt, hur den är definierad. Applicera nu vektorn (1,1,1) med sig själv i din inre produkt, dvs
<(1,1,1),(1,1,1)> (du får ursäkta notationen, kan inte använda rottecknet i skriv-rutan för att göra det fint). Vad får du då?
EDIT: Svarade inte riktigt på frågan, men i definitionen av din inre produkt används en godtycklig vektor (x,y,z), men nu ska du använda inre produkten på vektorn (1,1,1). Då gäller att (x,y,z)=(1,1,1) i detta fall.