4 svar
84 visningar
Soderstrom 2768
Postad: 9 okt 2020 22:55

Linjär avbildning (2)

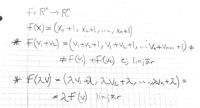
Jag fick att avbildningen inte är linjär. Har jag gjort rätt?

 

Dr. G 9657
Postad: 9 okt 2020 23:00

Avbildningen är inte linjär, speciellt då F(0) ≠ 0

Titta på F(lambda*x) igen. Första högerledet stämmer inte. 

Soderstrom 2768
Postad: 9 okt 2020 23:23
Dr. G skrev:

Avbildningen är inte linjär, speciellt då F(0) ≠ 0

Titta på F(lambda*x) igen. Första högerledet stämmer inte. 

Du menar att man inte ska multiplicera lambda med 1? Varför? Man ska multiplicera lambda med alla termer, eller?

Dr. G 9657
Postad: 9 okt 2020 23:32

Om vi tar envariabelfallet så har du

F(x) = x + 1

F(ax) = ax + 1

och inte

F(ax) = ax + a

eller hur?

Soderstrom 2768
Postad: 9 okt 2020 23:38

Jaa!! Tack Dr. G!

Svara
Close