2
svar
55
visningar
Soderstrom behöver inte mer hjälp
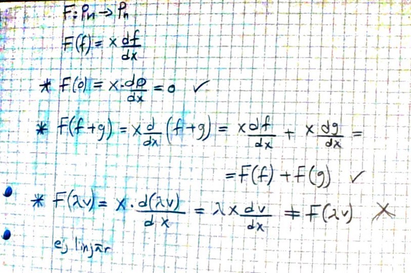
Linjär avbildning (3)
Är avbildningen linjär? Har jag gjort rätt?

Vad har du gjort på sista? Du har samma sak till höger och vänster och påstår att de inte är lika?
Oj. Då är den ju linjär..