2
svar
67
visningar
Soderstrom behöver inte mer hjälp
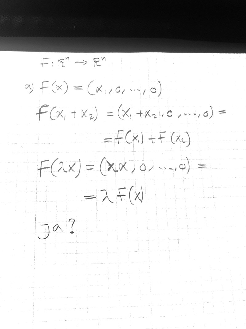
Linjär avbildning
Jag ska undersöka om avbildningen är linjär. Har jag gjort rätt?

Hej,
Nej, för att göra det ordentligt behöver du skriva
samt
Albiki. Tack!