1
svar
121
visningar
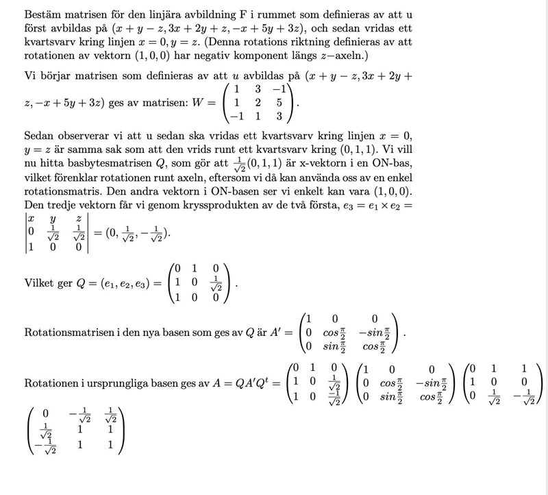
Linjär avbildning
Någon som kan ta en titt på min lösning till följande uppgift?

Den andra (och sista) delen av lösningen kommer här.
