1
svar
163
visningar
Linjär Avbildning:bestämma bas kärnan för L
Hej, jag har en avbildning och jag ska bestämma en bas åt kärnan

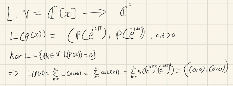
där c och d är något positivt rationellt tal,
Och då kärnan av L utgörs av polynom från V som går på noll i bilden, så tänkte jag bara lösa ut det (sista raden i bilden)
men det känns som att jag missar något eller missförstått uppgiftslydelsen, själva L(b) kan väl ses som en rotations matris och den kan ju inte bli noll, se för k=0.
Annars kanske det finns ett beroende mellan delsummorna? att a_i(.,.) =-a_j(.,.) eller så är alla skalärer a = 0.
dessa är de enda slutsatser jag kommit fram till sålänge, vet inte om jag övertänker eller om jag är helt ute och cyklar.
tack påförhand
+ har använt B = (1,x,xˆ2,...) som bas för V