Linjär avbildning, finn avbildningsmatris
Hej, jag har försökt lösa denna uppgift:
Utveckling av u + w x u ger F(u) = 0 + w x u = (z-y, x-z, y-x) om u antas vara u = (x, y, z)
Om jag sätter basen till:
e1 = (1, 0 , 0)
e2 = (0, 1, 0)
e3 = (0, 0, 1)
Så ger det givetvis:
F(e1) = (0, 1, -1)
F(e2) = (-1, 0, 1)
F(e3) = (-1, 1, 0)
Vilket i sin tur ger avbildningsmatrisen där F(e1), F(e2), F(e3) är kolonner i matrisen. Varför blir detta svar inkorrekt?
Tror du har glömt +u
Tillägg: 19 maj 2022 17:12
Eller satt till 0, varför?
Skall det inte se ut såhär: ? För isåfall blir kryssprodukten av u x u = 0,
alltså blir det bara (w x u) kvar?
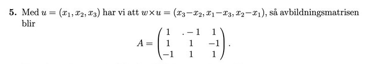
Detta är förklaringen i facit:

Jag får fram samma formel som dem för "w x u" men när jag utför subtraktionen får jag andra vektorer
Jag får alltså istället:
Det är ingen parentes där, du ska inte kryssa första u:et, bara plussa på. Prioriteringsregler
Aha. Så om paranteser inte finns så räknar jag bara "från vänster till höger"?
Nej, du följer prioriteringsreglerna. Gånger går före, både kryss och skalärt. Sen tror jag du stoppade in dina f åt fel håll nu, och fel tecken på f3
Okej tack, då tror jag att jag förstår. Addition går då också före kryss och skalärt? Vad går före av de två typerna kryss och skalärt?
Addition gör man sist, som vanligt. Har inte sett någon använda kryss och skalärprodukt samtidigt utan parenteser, så vet inte om det finns någon sån regel.
Så jag skall alltså inte först ta (u + w) och sedan den resulterande vektorn som kryssprodukt med u?
Nej, du ska addera din kryssprodukt med u.
Tack! Jag skall testa detta.
Jag fick rätt på det tillslut, tack!