Linjär avbildning på M2x2


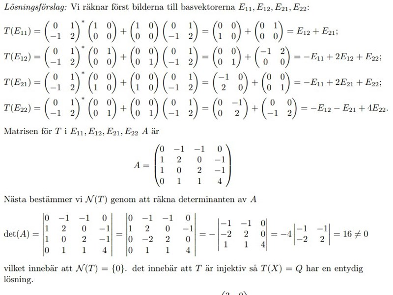
Jag förstår början där de räknar ut T(E11) och så vidare. Det är när det kommer till "Matrisen för T i E11, E12, E21, E22 A är" som jag känner mig helt lost. Vad är A där och varifrån kommer siffrorna?
A är transformationsmatrisen för transformationen T.
Ordna basvektornera E11 till E22 i en "ny basvektor"
Då kommer A mutliplicerat med den "nya basvektorn" ge dig den nya basen.
Tillägg: 16 jan 2024 23:24
Första kolumnen i A är vad E11 transformeras till osv.
Så tolkar jag det då rätt i att A är matrisen för T i standardbasen för M2x2 som det är formulerat i frågan. För i så fall blir det väl så att vi med hänsyn till både frågan och lösningsförslaget har två olika matriser som båda kallas A?
Precis, det är 2 olika matriser.
Frågan är ok formulerad med märkligt av lösningsförslaget att kalla det A. Oftast kallas det T, men nu när även det är taget brukar man kalla den för P (basbytesmatris).
Tack, då tror jag det blev mycket klarare