Linjär regression?
Hej!
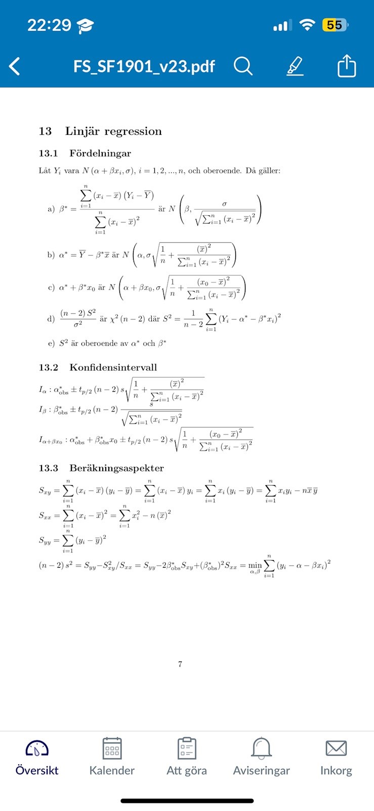
Jag vet inte om det beror på att det är sent på dagen, men jag förstår inte alls hur jag ska tänka kring den här uppgiften. Bifogar bild från formelbladet.

Att välja rätt skattning av lutningen (med enhet dagar per krona) är enklast med hjälp av en graf.
Jag tror att vi inte ska avgöra bästa skattningen utan ta fram den linjära regressionsmodellen enligt formelblad (som jag inte riktigt förstår :( ) och beräkna en skattning av lutningen av vår modell?
Majskornet skrev:Jag tror att vi inte ska avgöra bästa skattningen utan ta fram den linjära regressionsmodellen enligt formelblad (som jag inte riktigt förstår :( ) och beräkna en skattning av lutningen av vår modell?
Modellen är nog bara .
Sedan ska du skatta . Visst, det har också en teknisk-matematisk betydelse inom statistiken men jag skulle välja att tolka uppgiften som att man ska göra en skattning på ögat.