Linjär transformation till högre dimension



Min lärare sa att anledningen till att facit har valt basen {x^3, x^2+1, x} och inte t.ex. {x^3, x^2, x, 1} är för att x^2 och konstanten måste ha samma koefficient. Varför är det så?
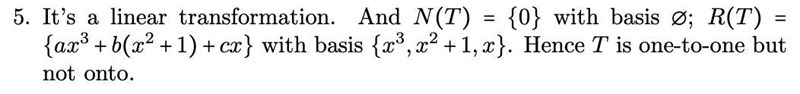
Låt T verka på ett allmänt polynom i P2(R) och se vad du får. Dvs ansätt ax2 + bx + c och applicera T.
Notera att {x3, x2, x, 1} inte är en bas för R(T) så hur skulle man kunna välja den?
T(ax2 + bx + c) = a(x3 + 2x) + b(x2 + 1) + cx.
Såldes spänns R(T) upp av polynomen x3 + 2x, x2 + 1, och x. Dessa polynom är linjärt oberende (inget av polynomen kan skrivas som en linjärkombination av de andra) och utgör därför an bas för R(T).
Notera att du får samma linjära spann om du ersätter x3 + 2x med x3 - se sats nedan. Så facits polynom är också en bas.
Sats: Om vi har en uppsättning vektorer {v1, v2, ..., vN} så ändras inte det linjära spannet om vi ersätter vektorn vk med vektorn vk + dvj (k j). (d är en skalär).
Bevis: Övning till läsaren.
Du inser direkt att polynomen x3, x2, x, 1 inte kan vara en bas för R(T), eftersom dim(R(T)) dim(P2()) = 3.