Linjära avbildningar
Jag har en uppgift som ser ut ganska straightforward men jag blir förvirrad av en grej:

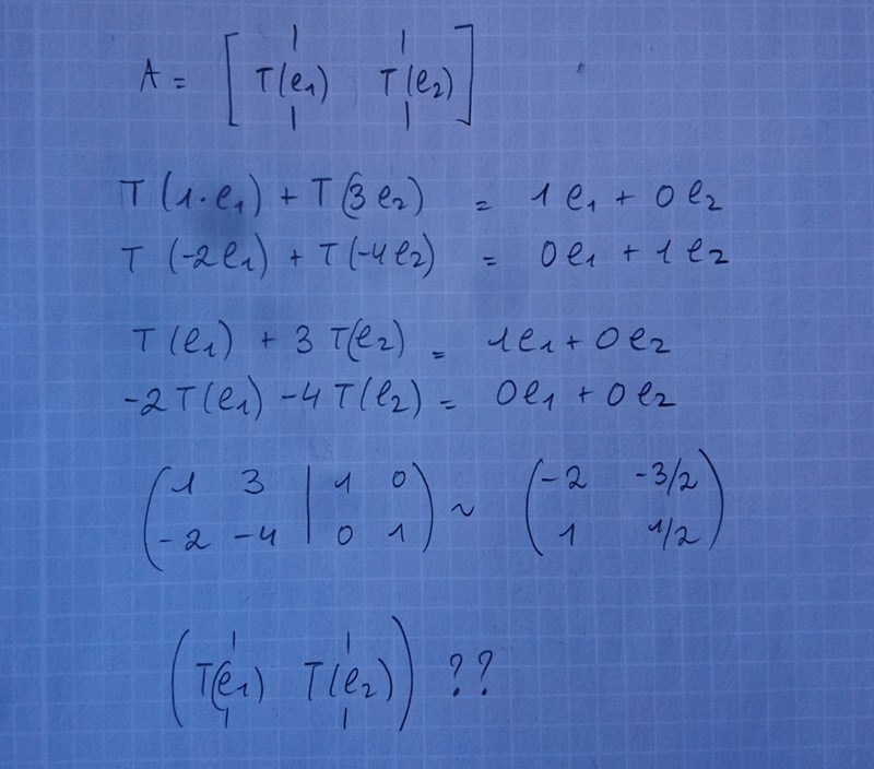
I denna typ av uppgifter, tänkte att det räkte att uttrycka T som linjär avbildning av enhetsvektorer, och då skriva av det som en matris:

Men i detta fall måste jag ta transponaten. Varför?
Jag är inte riktigt med på vad du menar med att du "måste ta transponaten", men om A är avbildningsmatrisen för T vill du lösa ekvationen AX=I, där X är matrisen . Alternativt kan du lösa den transponerade ekvationen X'A'=I, vilket om jag förstår det rätt är ekvationen du försökt lösa ovan (alternativt har du tänkt fel när du översätter från två vektorekvationer till en matrisekvation)
Jag menar att rätt svar är transponat av svaret som jag fick...
Om du tar 2*Ekv1 + Ekv2 får du
Om du sätter in detta i Ekv1 får du
Avbildningsmatrisen blir därför
Orkar du visa det i matrisform istället ?
Om vi för enkelhets skull skriver kan din första ekvation skrivas . Skriver du den andra ekvationen under får du matrisekvationen
Den högra matrisen i högerledet är transponatet av din avbildningsmatris, så efter att du inverterat den vänstra matrisen måste du, som du säger, transponera.
Alternativet till att lösa problemet såhär är att istället skriva första ekvationen som T*(1,3)T=(1,0)T (här kallar jag avbildningsmatrisen T) och motsvarande för andra ekvationen. Då får du transponatet till matrisen du inverterade, och kommer få transponatet till din invers direkt.
Tack till båda!