4
svar
114
visningar
Soderstrom behöver inte mer hjälp
Linjära avbildningar
Förstår inte hur jag ska göra sen...

Tänk på definitionen av avbildningsmatrisen M till avbildningen A.
A(Pi) =
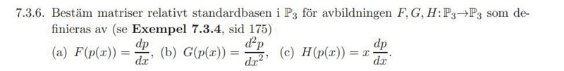
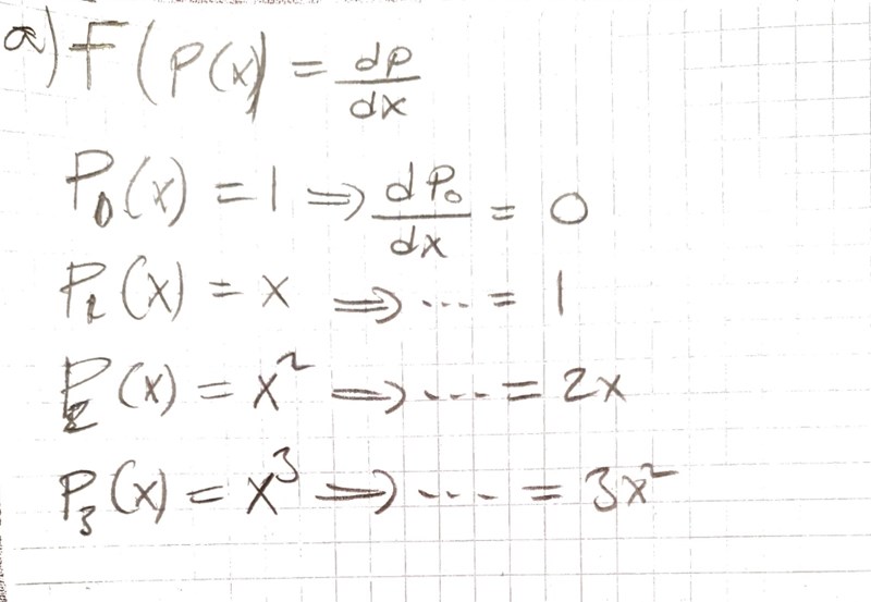
Har jag tänkt rätt när det gäller uppställningen?

Tillägg: 22 sep 2021 18:48
Jag förstod konceptet!
F(1,x,x^2,x^3) är fel att skriva, det makes no sense.
- När du skriver med kommatecken tror man att F tar in fyra olika variabler.
- F tar in polynom, så du borde skriva F(p) eller F(p(x)) eller Fp.
Frågan vill bara att du ska ställa upp transformationsmatrisen, du behöver inte skriva F(...)= ... [matris] ...,
Men om du känner att du måste, så är rätt skrivsätt F(a+bx+cx2+dx3)=F((a,b,c,d))=[din matris](a,b,c,d)^T
Okok!