Kvadratisk funktion
Frågan är:

Svaret är:
a=-2 b=-2 c=24
Hur har du försökt själv?
Edit: "linjära funktioner" är inte alls rätt rubrik, det här är en kvadratisk funktion.
Jag försökte med att ta:
y(3)=9a+b3+c
y(-2)=4a-2b+c
y(1)=a+b+c
Ska jag också stoppa in siffror istället för y-värdet?
Matte-02 skrev:Ska jag också stoppa in siffror istället för y-värdet?
Ja, det är bra, sätt in det du vet om y(3) t.ex. (det står att det är 0), och de två andra värdena.
Ok tack ska se om jag får till det.
0(3)=9a+b3+c
20(-2)=4a-2b+c
20(1)=a+b+c
Ska jag multiplicera 0 med 3?
0(3)=9a+b3+c
så att det blir:
0=9a+3b+c?
Matte-02 skrev:0(3)=9a+b3+c
20(-2)=4a-2b+c
20(1)=a+b+c
Ska jag multiplicera 0 med 3?
0(3)=9a+b3+c
så att det blir:
0=9a+3b+c?
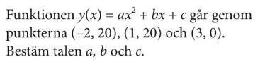
Du ska bestämma konstanterna a, b och c så att grafen till går genom de angivna punkterna.
Detta går att göra på flera olika sätt.
Ett sätt är att sätta upp och lösa de tre ekvationerna
Dvs att lösa ekvationssystemet
----------------------------------------------------------
Ett annat (och snabbare) sätt är att försöka faktorisera uttrycket
En faktorisering av detta uttryck är , där och är uttryckets nollställen och är en konstant.
Eftersom vi vet att grafen går genom punkten (3: 0) så vet vi att ett nollställe ligger vid .
Då kan vi skriva faktoriseringen som
Pröva nu att skissa grafen till för att se om du kan lista ut var symmetrilinjen ligger.
Eftersom detta är en andragradsfunktion så vet vi att nollställena ligger symmetriskt kring symmetrilinjen, vilket gör att vi kan lista ut var det andra nollstället ligger.
Sedan är det enkelt att bestämma värdet på genom att sätta in t.ex. punkten (1: 20) i uttrycket för .
Kommer du vidare på det spåret?
Matte-02 skrev:0(3)=9a+b3+c
20(-2)=4a-2b+c
20(1)=a+b+c
Ska jag multiplicera 0 med 3?
0(3)=9a+b3+c
så att det blir:
0=9a+3b+c?
Nej, du ska bara ha y-värdet på vänstersidan, inte multiplicera med x. y(x) betyder det värde som y får för x, inte y multiplicerat med x. (Inte här och nu i alla fall - om man inte vet att y är en funktion av x så är det inte helt klart.)
Jag gjorde så, men fick fel svar..

Lägg gärna in din bild på rätt håll. Som det är nu känner jag mig så här:

moderator
Hahahhahahahahhahahahah ja ok
Metoden som du använder fungerar men problemet med den är, som du märker, att den ger dig ett ekvationssystem med tre obekanta som kan vara lite jobbigt att lösa.
Om man utvecklar Yngves andra metod lite så ser man att två av punkterna du har har samma y-värde. Det innebär att symmetrilinjen för din funktion måste ligga mitt emellan x-värdena för dessa. Sedan har du ett nollställe givet, det andra nollstället ligger lika långt från symmetrilinjen som det nollställe du har gör. På så sätt får du ut det andra nollstället. Sedan gör du som Yngve säger.
Ja ni har rätt!
Ska prova igen så som ni säger ;)
