Linjära höljet
Reducera antalet vektorer som beskriver det linjära höljet.
Är jag på rätt spår?
Med viss reservation för att jag inte fattat frågan.
Vektorerna: spänner upp samma 2-dimensionella rum/hölje som . Jag satte en parentes kring 5:an för det verkar vara ett slarvfel där:

Det räcker med att visa att rad 1 och 2 är linjärt beroende (och att rad 3 inte är det). Det betyder att vektorerna:
spänner upp samma 2-dimensionells rum som v1-v3 och u1-u2.
På facit står det som nedan, jag blir förvirrad, för hur kommer de fram till det!? Och sen säger de "exempelvis" så det finns olika svar?...
Titta här för standardtekniker.
Då har jag nog inte förstått frågan. Det där ser ut som vektorer i R3. Jag tolkade det som ett hölje i R4.
Hur ser frågan ut?
"Reducera antalet vektorer som beskriver det linjära höljet."
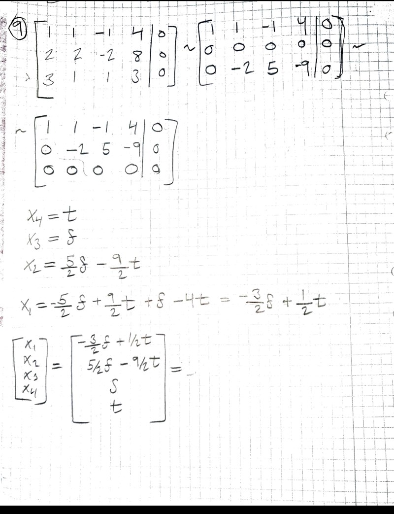
Och vektorerna satte jag i matrisen som kolonnvektorer. v1= (1 2 3), v2= (1 2 1) osv..
Ang. frågan
sen säger de "exempelvis" så det finns olika svar?
Ja, de har givit dig ett gäng vektorer. De kan alla ligga på en linje (typ [1,0,0] [4,0,0] [123 0 0] som alla ligger längs "x-axeln") eller i ett plan (tänk på hur många vektorer du kan rita på ett A4-ark) eller i ett annat n-dimensionellt rum/hölje. Säg att du ritar 15 vektorer på ett A4. Du kan på inget sätt komma "ut ur" A4-arket genom linjärkombinationer av de 15 vektorerna. De 15 vektorerna spänner upp ett 2-dimensionellt rum (d.v.s. de spänner upp A4-arket utsträckt till oändligheten). Innan du börjar räkna på det så vet du inte hur många dimensioner som vektorerna "spänner upp". I ditt fall har du visat att alla 4 vektorer ligger i samma 2-dimensionella plan i . För att beskriva det planet behöver du bara 2 vektorer. Du kan välja vilka som helst i planet så länge de är linjärt oberoende. I facit har de valt 2 vektorer men det finns oändligt många att väja på. I bilden här är facits vektorer röda stjärnor (du kan tänka dig en vektorpil från origo till stjärnan). De andra vektorerna från din matris är gula. Alla 4 ligger i samma plan:
Du har ett gäng vektorer, och du ska plocka bort några av dem så att du bara har linjärt oberoende vektorer kvar. Du har satt upp ekvationen . Vektorerna är linjärt oberoende om och endast om denna ekvation endast har lösningen . Med tanke på att du får en parameterlösning (oändligt antal lösningar) så är de linjärt beroende (med tanke på att de var 4 till antalet, men 3 i sin dimension så visste vi detta på förhand).
Ett sätt att lösa det är att titta på din trappstegsform. Säg att du skulle plocka bort den sista vektorn (4, 8, 3) och upprepa proceduren. Då skulle du få samma trappstegsform, förutom sista kolumnen. Det skulle fortfarande generera en parameterlösning, så de tre kvarvarande vektorerna är fortfarande linjärt beroende. Om du också plockar bort vektorn (-1, -2, 1) och upprepar proceduren får du återigen samma trappstegsform, men denna gång kommer du få den unika lösningen . Du har därmed hittat dina linjärt oberoende vektorer, och därmed ett linjärt hölje (vektorerna (1,2,3) och (1, 2, 1)).
Det är ett exempel, du skulle exempelvis kunna plockat bort den andra och tredje vektorn och fått första och fjärde vektorn som ditt linjära hölje.
Generellt kan man säga att när man gjort gauss-elimination och fått en trappstegsform kan man välja en vektor "per trappsteg" och konstruera det linjära höljet av detta. I ditt fall har du två trappsteg och du måste välja den första vektorn (eftersom den är ensam på "sitt trappsteg") och sen kan du välja en av de tre återstående vektorerna (eftersom de står på "samma trappsteg). Notera att när jag säger välja vektorer menar jag ursprungsvektorerna (exempelvis (1,2,3)), inte de vektorer som står som kolumner i trappstegsformen.

