Linjärisering, två variabler
Jag har fått material som förklarar hur jag ska koda när jag ska rita upp tangentplan och normalvektor till funktioner.
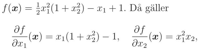
Exempelfunktionen är:

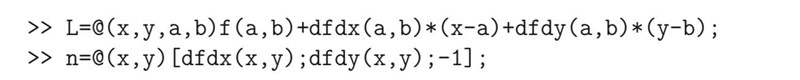
...och linjäriseringen samt normalvektorn skrivs ut såhär:

I sista raden, var kommer "-1" ifrån?
Om man uttrycker planet som z = z0 + px + qy, eller px+qy-z = -z0, så ser man att vänsterledet är skalärprodukten mellan (x,y,z) och (p,q,-1) och (p,q,-1) är normalvektorn. Den ska ju ha tre komponenter, -1 är z-komponenten.
Det här var lite löst uttryckt, man kan säga det mer stringent.
Jag tror jag förstår. Men då blir ju z samma för alla liknande funktioner som denna, eller?
enblivandeingenjör skrev:Jag tror jag förstår. Men då blir ju z samma för alla liknande funktioner som denna, eller?
Det blir alltid -1 som z-komponent när man gör så här, om man inte normaliserar.