1
svar
81
visningar
Linjär avbildning med avseende på olika baser
Hej! Får totalfel på den här uppgiften. Jag måste verkligen ha missuppfattat vad den går ut på.

Jag läser uppgiften som "skriv T(x) på matrisform i basen B". Min lösning:
Sätter in i . Detta ger
Nu ska vi bara byta bas. Basbytesmatrisen ges av basen B:s kolumnvektorer eftersom antas vara skriven på basen E. Detta ger
Sökt värde blir då
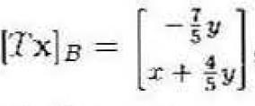
Men facit säger nåt helt annat:

De har ju för det första inte arbetat med värdena på . Varför inte? Och även om man sätter in värdena på ger det inte mitt svar.
Försök med
B = , istället. Dvs lös systemet för .