6 svar
197 visningar
Arian02 behöver inte mer hjälp
Arian02 520
Postad: 10 nov 2021 02:27

Linjärt oberoende/beroende

Hur är det menat att man ska lösa den här uppgiften? Själv tänkte jag att jag kunde lösa homogena matrisekvationen och se ifall det finns några andra lösningar än den triviala, men det blir väldigt svårt att reducera totalmatrisen hela vägen. Några tips?

Dr. G 9618
Postad: 10 nov 2021 06:47

Du kan visa att determinanten av en matris med v1, v2 och v3 som kolonner inte är 0. 

Arian02 520
Postad: 10 nov 2021 11:19

Vi har tyvärr inte kommit tillräckligt långt för att kunna använda sånt ;/. Vi har endast lärt oss om linjärt oberoende/beroende ifall det vektorerna är multiplar av varandra, har endast trivial lösningen eller om de innehåller nollvektorn.

Bubo 7913
Postad: 10 nov 2021 11:31

Försök skriva v3 som s*v1 + t*v2 med s och t skalärer.

Hondel 1536
Postad: 10 nov 2021 11:40

Det låter som att du sällt upp en ekvation (dvs s*v1+t*v2=v3) men inte kunna reducera. Låt R1 beteckna rad 1 i denna, R2 rad 2 och R3 rad 3. Om du då tar R2-a*R1 och R3-a^2*R1, och sedan i den nya rad 3 utvecklar b^2-a^2 till (b+a)(b-a), borde du du inte kunna reducera genom att ta R3'-(a+b)*R2' där R3' och R2' är de nya raderna?

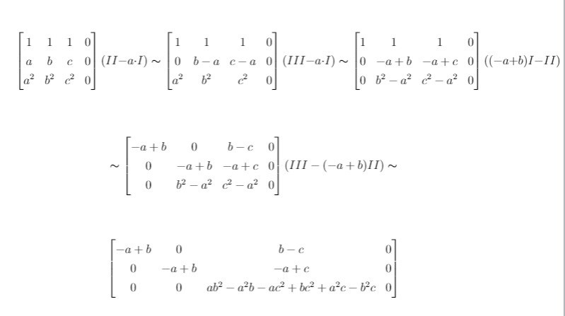
Arian02 520
Postad: 10 nov 2021 11:43 Redigerad: 10 nov 2021 11:44

 

Jag har lyckats reducera så pass mycket och kunde enkelt dra slutsatsen att triviala lösningen är den enda eftersom alla variabler har värdet 0. Vet dock ej om det är tillräckligt.

alireza6231 250 – Fd. Medlem
Postad: 10 nov 2021 13:33

Svara
Close