2
svar
144
visningar
Linje
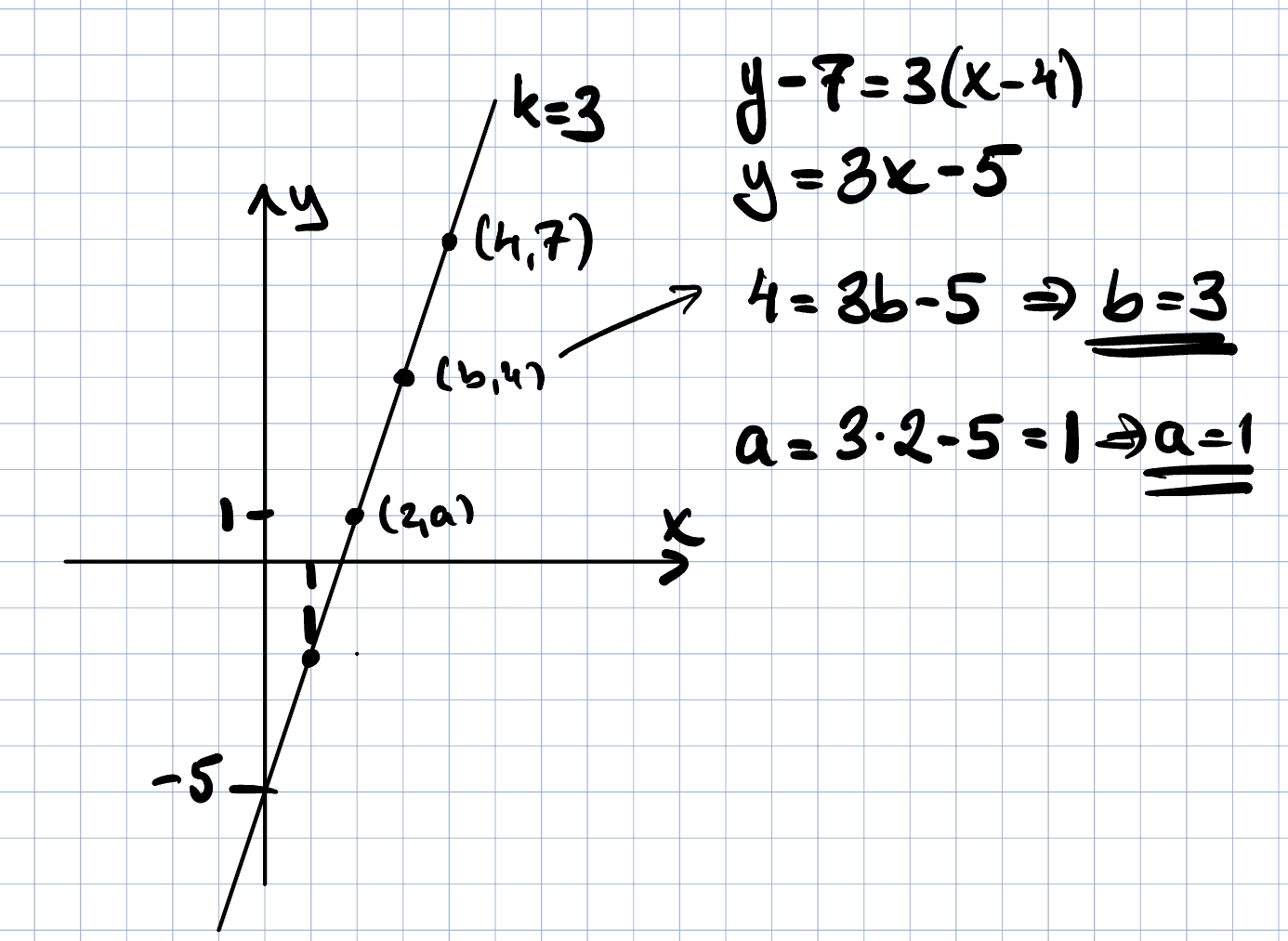
Okej 3= 4-a/b-2
Den ska gå igenom (4,7) hur ska jag ställa upp de som?
Menar då 8)
En gratistjänst från Mattecentrum
Okej 3= 4-a/b-2
Den ska gå igenom (4,7) hur ska jag ställa upp de som?
Menar då 8)