Linje integral
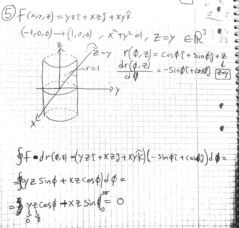
Behöver hjälp med uppgift 5. Hur ska parametrisera? Svaret ska bli

är ekvationen för figur i xy-planet , känner du igen vad det är? Vad har den för radie? Rita!
Kan du göra en parameterframställning för figuren, t.ex. baserat på bara en vinkel t?
Lägg sedan till att z-koordinaten för ett givet y ska vara så har du en parameterframställning i 3 dimensioner.
Jag löste uppgiften geometriskt, och hänvisade till symmetri. Kan man göra så?
Jag hade nog börjat med att parametrisera x och y polärt och bara tänkt på cylindern. Sen sätta z till samma som y blev.
Soderstrom skrev:Jag löste uppgiften geometriskt, och hänvisade till symmetri. Kan man göra så?
Det beror lite på, men förmodligen inte :)
Planet lutar (0,-1,1) och kurvan bildar en ellips i planet. Fältsymmetrin är åtminstone inte trivial.
Känns som jag är helt ute och cyklar! 🚴♂️ Men vad tror ni?
EDIT: Jag gillar att cykla.

Hur kom in i gränserna? Och varför skulle y vara noll?
Det stämmer att , men din motivering är inte helt övertygande.
Edit: Dessutom,
Varför försvann komponenten?